نمودارشتاب_زمان

5/5
(13 رای)

مرحله 30

 تابع تانژانت
تابع تانژانت

`01:19

1 تمرین

جهش های بزرگ (ناهنجاری های فام تن)
جهش های بزرگ (ناهنجاری های فام تن)

`00:53

 تناوب
تناوب

`00:56

1 تمرین

50 ساعت تدریس کاملا رایگان زیست برای دریافت ویدیو ها شماره ت رو وارد کن
سوالات دیگران

سلام خسته نباشید استاد استاد یک سوال از محور طلایی اگر داخل امتحان نهایی استفاده کنیم نمره کامل رو بهمون میدن یا نه باید تمام راه حل هارو بنویسیم

. . | آکادمی امروز

. .

3 هفته پیش

نه از محور طلایی نمی تونی استفاده کنی تو امتحان نهایی ها،.. باید تشریحی بری کامل

سلام چی یادگرفتی گزینه ب رو میشه بگید جابه جایی ۰تا۵۰چطود به دست میاد ممنون میشم‌راه حل ش رو بفرستید

Fatemeh Zand | آکادمی امروز

Fatemeh Zand

2 ماه پیش

👇

درود خسته نباشید اینجا نمیشه از رابطه ایکس مساوی با یک دوم a ته به توان 2 + وی صفر تی + ایکس صفر استفاده کرد ؟ چون من به دست اوردم درست در امد

Fatemeh Zand | آکادمی امروز

Fatemeh Zand

2 ماه پیش

سلام .. رابطه ای که گفتید برای حرکت با شتاب ثابت هست در نتیجه برای بازه صفر تا ۵ ثانیه و بازه ۱۵ تا ۲۵ ثانیه که حرکت متحرک با شتاب ثابت هست جواب میده ✅️ ولی بازه ۵ تا ۱۵ که حرکت متحرک با سرعت ثابت هست این رابطه جواب نمیده .

میشه قسمت ج رو توضیح بدین ، مگه اینجا نباید سرعت لحظه 25 که 10- هست رو منهای سرعت لحظه 0 که 0 هست بکنیم و بعد تقسیم بر 25 که جواب میشه همین 0/4- ، ولی اینجا جمع کردیم

سید جان چی یاد گرفتی گزینه ج رو چطوری باید حل کنیم

اگر ویس ناواضح بود بگید دوباره ضبط کنم 🌷 ریپلای نباشه 🌷

جسارتا استاد اینجا تو بازه زمانی 5 تا 15 که حرکت با سرعت ثابته گفتن جابه جایی صفره درحالیکه جابه جایی 100 متر میشه.

سلام اره درست میگی. از بازه 5 تا 15 جابجایی 100 ولی از بازه 15 تا25 جابه جایی صفره

@طهورا عیوضی بله همینطوره.

اینجا لزوما حرکت با سرعت ثابته؟ یعنی نمیشه گفت که متحرک ساکنه؟

سلام اوکیه؟

@طهورا عیوضی مچکرم دوست عزیز

آیا همیشه نمودار طلایی درست جواب میده چون برای نهایی هم که معلم مدرسه می گفت از سطح زیر نمودار استفاده کنید

خیر برای نهایی محور طلایی رو استفاده نکنید.

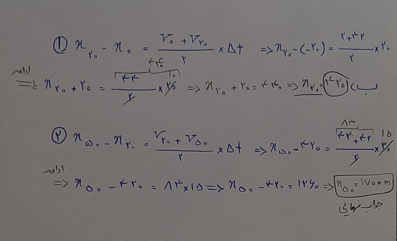
سلام من مثال اول رو از مساحت سطح زیر نمودار برای به دست آوردن سرعت متوسط استفاده کردن ولی جواب سی و شیش به دست میاد ولی وقتی استاد حل میکرد با نمودار طلایی بیست و هشت به دست آورد چرا اینجوریه

اگر ویس ناواضح بود بگید دوباره ضبط کنم 🌷 ریپلای نباشه 🌷

آتنا . | آکادمی امروز

آتنا .

4 ماه پیش

ببخشید تدریس نمودار شتاب زمان و نکات اون تو کدوم ویدیو هستش

ببخشید اینجا میشه قسمت ب رو بگید از چه فرمولی حل میشه و توضیح بدین برام؟ و همچنین قسمت د رو

سلام میشه توضیح بدین از کجا مشخص میشه خطی که روی نمودار باید رسم شه سهمی شکل است یا مایل و افقی؟

مبین نصرتی | آکادمی امروز

مبین نصرتی

4 ماه پیش

سلام اگر نمودار مکان - زمان یا همون x - t باشه چون تو فرمولش توان ۲ وجود داره پس میشه سهمی . اگر از x - t مشتق بگیریم نمودار سرعت - زمان یا همون v - t به دست میاد که فرمولش فرمول خطه و میشه مایل . اگر از v - t مشتق بگیریم نمودار شتاب - زمان یا همون a - t به دست میاد که یه عدده و میشه تابع ثابت یا به قول شما خط افقی .

این دو مثال روش تشریحیش رو برام میذارید بی زحمت

کدوم دو مثال؟ لطفاً تایم مشخص کنید 🌷 ریپلای نباشه 🌷

@سید محمد متین رشادی اخه کلا دو مثال من حل تشریحیش رو میخوام برای امتحان نهایی

فاطمه ساعدی | آکادمی امروز

فاطمه ساعدی

10 ماه پیش

من چک کردم جواب همه گزینه ها درستن

اگر ویس ناواضح بود بگید دوباره ضبط کنم ریپلای نکنید 🌷

سلام من چی یاد گرفتید رو متوجه نمیشم حتی با توجه به گفته های آقای درویش یزدی آخه توی این نمودار ها شیب t1 . تا T2 تو هرسه منفیه و ۰ تا t1 وt2تاt3 ام واسه هر سه تا شتاب صفره و سرعت ثابته

سلام توضیح دادم در ویس هر سه تاش درسته متن سوال رو دقیقتر بخونید منظورمو متوجه میشوید

آموزش ویدیویی نمودارشتاب_زمان برنامه مطالعاتی دوازدهم دوازدهم توسط بهترین اساتید کنکور به همراه جزوه ، تست ، تمرین و رفع اشکال کنکور | کنکور - آکادمی امروز