تست روابط دوبرابر کمان سینوس

5/5
(3 رای)

21 اسفند

لنفوسیت ها و نحوه عملکرد لنفوسیت ها B
لنفوسیت ها و نحوه عملکرد لنفوسیت ها B

`01:37

1 تمرین

 تست روابط دوبرابر کمان سینوس
تست روابط دوبرابر کمان سینوس

`00:40

1 تمرین

نحوه عملکرد پادتن ها و لنفوسیت ها T
نحوه عملکرد پادتن ها و لنفوسیت ها T

`01:13

2 تمرین

 حرکت و اندازه ی ذره در میدان مغناطیسی
حرکت و اندازه ی ذره در میدان مغناطیسی

`01:43

حرکت، ارتباط شیمیایی و ایمنی جانوران
حرکت، ارتباط شیمیایی و ایمنی جانوران

`00:27

50 ساعت تدریس کاملا رایگان زیست برای دریافت ویدیو ها شماره ت رو وارد کن
سوالات دیگران

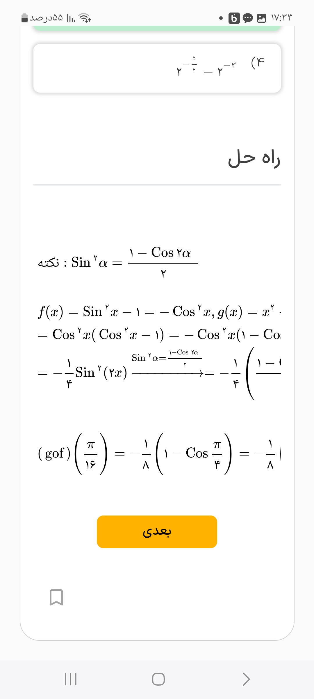
میتونستیم فقط توی رابطه ۲ برار کمان سینوس جایگذاری کنیم. بنظرم اینطوری سریع تر حل میشد

چرا سینوس میشه 2 تا الفا دوم؟؟؟؟

اگر ویس ناواضح بود بگید دوباره ضبط کنم 🌷 ریپلای نباشه 🌷 اوکیه؟

یادبگیریم 2 کو؟؟؟؟؟؟

https://emrooz.ir/cbgstbc-2161

سلام

نرگس مهدوی | آکادمی امروز

نرگس مهدوی

tik

10 ماه پیش

سلام منظورش اینه این زاویه باید بیشتر از ۹۰ درجه و کمتر از ۱۸۰ درجه باشه

H M | آکادمی امروز

H M

1 سال پیش

مگه نگفتیم سینوس دو آلفا مثبت چرا منفی شد پس؟

جواب به صورت صوتی می باشد:)

دکتر رشادی سلام . لطفا به سوال من راجع به این تست نظرتون رو بفرمایید

@سید محمد متین رشادی سلام دمت گرم حالا شد

سلام آقا نشد اینجوری که نمیشه . جمع دو عبارت توان دو رو مستقیما تبدیل کنیم به اتحاد مربع کامل !!!!!!!!! اگگگگگر بخوایم دو عبارت توان دو رو به اتحاد مربع تبدیل کنیم باید عبارت دوبرابر اولی در دومی رو ازش کم کنیم . توی این تست مستقیما دو تا سینوس و کسینوس توان زوج رو اتحادش کردن !!!!!!!!!!!!!!

نرگس مهدوی | آکادمی امروز

نرگس مهدوی

tik

1 سال پیش

سلام ببین از اتحاد استفاده کردن تا بتونن عبارت رو به صورت ساده تر بدست بیارن صرفا یک سری معادلات نوشته شده تبدیل دوتا مربع به اتحاد انجام نشده این یه نوع روش حل برای این مدل سوالات هست تا با استفاده اتحاد ها بتونی مجهول ها رو پیدا کنی

@نرگس مهدوی یعنی چی ؟ یه روش من درآوردی !!!!! استفاده از اتحاد هم قانون داره دیگه روش باید اسلوب داشته باشه و علمی و منطقی با هیچ منطق ریاضی جور در نمیاد جز منطق من درآوردی اگر روشی جز این میدونید لطفا کمکم کنید

نرگس مهدوی | آکادمی امروز

نرگس مهدوی

tik

1 سال پیش

@شفیقه جعفریان نه نه😂 این یه روش من در اوردی نیست... واقعا یه روش منطقیه منتهی برای اینکه بتونی چنین سوالاتی رو حل کنی باید از قبل این مدل سوالات رو دیده باشی اتحاد ها رو کامل بلد باشی واقعا این سوالات جز این روش، روش دیگه ای هم ندارن

@نرگس مهدوی خانم دکتر عزیز نازنین گرامی ببینید وقتی دو تا عبارت توان دو بصورت جمع داریم . نمیتونیم اونو بصورت اتحاد مربع بنویسیم مگگگگر خارج پرانتز یه دونه دوبرابر اولی در دومی رو ازش کم کنیم . که : وقتی اتحاد رو باز کردیم اون دوبرابر اولی در دومی که ایجاد میشه با این بیرونی ساده بشه . توی این راه حل دوعبارت توان دو رو که بصورت جمع هست مسسسستقیما اتحادش کردیم

مگه میشه فقققط صورت رو به توان رسوند ؟ وقتی میخوای به توان برسونی صورت و مخرج و اون طرف تساوی رو . همه رو باید به توان برسونی !!!!! نه اینکه هر جا گیر کردیم ، اونجا رو فقط به توان برسونیم

یبار به توان دو رسوندیم دوباره ازش جذر گرفتیم یعنی فقط شکلش رو تغییر دادیم 😊🌷

@سید محمد متین رشادی نه دکتر جان با دقت به ویدئو نگاه کنید متوجه میشید مخرج مشترک گرفتن . مخرج رو بدون به توان دو رسوندن حل کردن صورت رو گفتن نمیدونیم میذاریم A . صورت رو به توان رسوندن

@سید محمد متین رشادی اگر راه حل درست نسیت لطفا راه حل درست رو برام بفرستید . ببخشید که میندازم تو زحمت

.Armita . | آکادمی امروز

.Armita .

1 سال پیش

جواب به صورت صوتی می باشد:)

در دقیقه 1/18 استاد نوشتن سینوس 10 همون کسینوس 80 هست سینوس 80صورت با کسینوس 80 چه جوری ساده شد ؟؟؟؟؟؟

نرگس مهدوی | آکادمی امروز

نرگس مهدوی

tik

1 سال پیش

ببین اگر دو تا زاویه مجموعش بشه ۹۰ درجسینوس یکی با کسینوس اون یکی برابره مثلا سینوس ۳۷ با کسینوس ۵۳ برابره

@نرگس مهدوی بله درسته اما در جواب تست . انگار درست اعمال نشده . سینوس 80ئصورت رو با کسینوس 80 ساده کردن

.Armita . | آکادمی امروز

.Armita .

1 سال پیش

@شفیقه جعفریان ساده نکردن سینوس تقسیم بر کسینوس داریم که همون تانژانت هستش سوالم که تانژانت خواسته

چرا وقتی تانزانت و کوتانزانت رو ساده کردن وقتی مخرج مشترک میگرفتن چرا بالای صورت 2 نشد و یک شد چون یک به علاوه یک میشه دو

جواب به صورت صوتی می باشد:)

عجب سوال خفنی بود

مبینا برشد | آکادمی امروز

مبینا برشد

1 سال پیش

سلام خسته نباشید...میشه لطفا بگید اینجا طبق چه فرمولی به این رسیدیم؟

متوجه شدی ؟

مبینا برشد | آکادمی امروز

مبینا برشد

1 سال پیش

@سید محمد متین رشادی آره متوجه شدم خیلی ممنون💙🙏

فاطمه صفری | آکادمی امروز

فاطمه صفری

1 سال پیش

بی زحمت اینو هم واسم توضیح بدهید

جواب به صورت صوتی می باشد:)

فاطمه صفری | آکادمی امروز

فاطمه صفری

1 سال پیش

سلام اینو یکی برای من توضیح می دهد ؟

سلام وقتتون بخیر 🌷 بیزحمت یه عکس هم از پاسخنامش بدید 🌷🌷

تست های مثلثات خیلی سخته چکار کنیمم

نرگس مهدوی | آکادمی امروز

نرگس مهدوی

tik

1 سال پیش

اول باید پایه تون رو قوی کنین از مقدمات مبحث بخونین بعد وارد تست های سخت تر بشین مسئله که حل میکنین تا تهش رو خودتون حل کنین وسطش ول نکنین برین جوابیه چک کنین و یه استاد داشتیم میگف اگر اومدی پیش من گفتی ۳۰۰ تا تست مثلثات زدم بازم حس میکنم بلد نیستم بهت میگم برو ۶۰۰ تا دیگه بزن

آموزش ویدیویی تست روابط دوبرابر کمان سینوس برنامه مطالعاتی 150 روزه هفته 8 توسط بهترین اساتید کنکور به همراه جزوه ، تست ، تمرین و رفع اشکال کنکور | کنکور - آکادمی امروز