حرکت روی خط راست

5/5
(3 رای)

4 فروردین

تست های رونویسی
تست های رونویسی

`01:13

1 تمرین

 معرفی تعادل و ثابت تعادل
معرفی تعادل و ثابت تعادل

`01:09

2 تمرین

 mrna و trna
mrna و trna

`01:41

مفهوم مشتق
مفهوم مشتق

`00:45

تست های تندی و سرعت متوسط
تست های تندی و سرعت متوسط

`01:05

1 تمرین

50 ساعت تدریس کاملا رایگان زیست برای دریافت ویدیو ها شماره ت رو وارد کن
سوالات دیگران

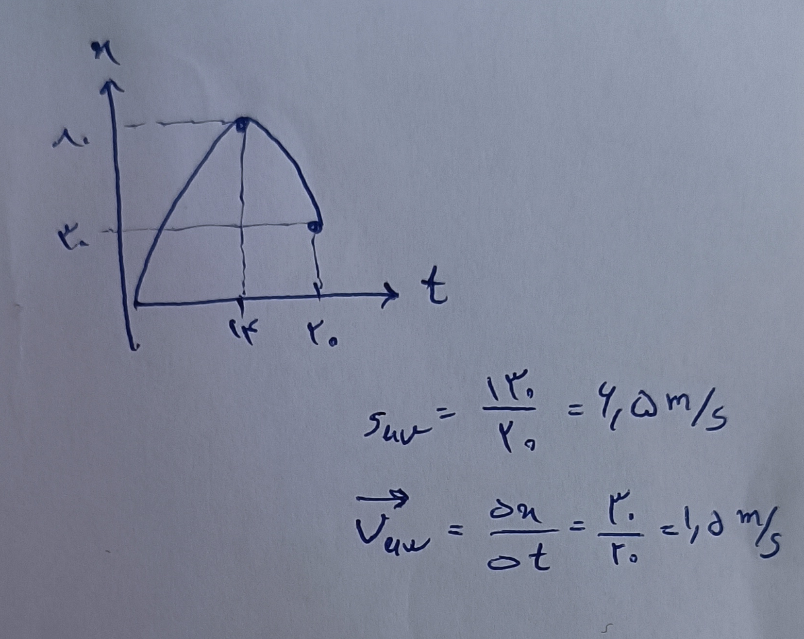
این جواب ها درسته؟؟؟ اگه تو امتحان نهایی با همچین نموداری جواب بدیم نمره میدن؟

. . | آکادمی امروز

. .

3 هفته پیش

تو دقیقه ۳۷، استاد سه مقدار برای ایکس صفر به دست آوردن، که از تی مساوی با صفر، به علت مکان اولیه بودنش صرف نظر کردن. اما ما از کجا فهمیدیم که نمودار مبدا گذر، و اتفاقا شروعش از مبدا عه که بتونیم از تی مساوی با صفر صرف نظر کنیم؟ پیشاپیش از زمانی که صرف می کنید ممنون

Ayla .... | آکادمی امروز

Ayla ....

2 ماه پیش

(لحظه) ۴ با( ثانیه )۴ چرا تفاوت داره؟

. . | آکادمی امروز

. .

3 هفته پیش

لحظه ۴ خود ۴ عه و ثاتیه چهارم اون بازه ثانیه چهاره یعنی از ۳ تا ۴

سلام وقتتون بخیر توی مثال آخر از روشی ک استاد حل کردن میتونیم توی نهایی استفاده کنیم؟

زینب امیری | آکادمی امروز

زینب امیری

2 ماه پیش

4t=0 چطور t شد صفر مگه t=-4 نمیشه؟؟؟؟؟؟؟؟؟؟؟؟؟

اگر ویس ناواضح بود بگید دوباره ضبط کنم 🌷 ریپلای نباشه 🌷

زینب امیری | آکادمی امروز

زینب امیری

2 ماه پیش

@سید محمد متین رشادی متشکرم از شما

جواب چی یاد گرفتی ۲ سرعت متوسط= 1/5 و تندی متوسط =7/5 میشه ؟؟

تطبیق با پاسخنامه فراموش نشه 🌷

چرا منفی یک و نیم؟

@راضیه شوشتری زاده درود بله من اشتباه کردم میشه مثبت ولی اگر نمیگفت اندازه سرعت متوسط دو حالته میشد و یکی از حالت هم منفی و دیگری مثبت میشد ممنون که گفتید 🩵

۱/۵ و ۶/۵ باید باشه‌

حدیث رحمتی | آکادمی امروز

حدیث رحمتی

3 ماه پیش

استاد اون سواله که t1=0 و t2=3چجور از ۱۰ تا منفی ۶۰ شد ۷۰ مگه کم نمیشن؟

لطفاً بگید کجارو میگید

حدیث رحمتی | آکادمی امروز

حدیث رحمتی

3 ماه پیش

@Mohammad yasin Aryani قسمت محاسباتششش

@حدیث رحمتی خوب کجااااااا تایمشو بگید😭😭😐

حدیث رحمتی | آکادمی امروز

حدیث رحمتی

3 ماه پیش

@Mohammad yasin Aryani میتونی ریاضی‌کمکم کنی؟

@حدیث رحمتی آره هر چی خواستی بگو کمکت کنم

حدیث رحمتی | آکادمی امروز

حدیث رحمتی

3 ماه پیش

@Mohammad yasin Aryani این ایدی تلگراممه پیام بدهPv_boht@

میشه این سوال رو برام حل کنید

مثالی که استاد در دقیقه ۳۷ و ۳۷ ثانیه توضیح دادند را اصلاً متوجه نشدم میشه یک بار با ویس توضیح بدهید

یه سوال میگم استاد گفته بودن مثلا در ۲ ثانیه دوم برای پیدا کردن t¹ باید ۲ را در ۲ ضرب کنیم و برای t² باید اون ۴ ثانیه رو از ۲ کم کنیم ولی الان انگار که در ثانیه ۳۴:۱۱ اشتباه و جابجا نوشتند

سلام و وقت بخیر یه سوال در دقیقه ۲۴:۱۵ دقیقه مگه استاد یه جا میگن اگر حرکت پیوسته بود بین x² x¹ باید جمع گذاشت و الان هم حرکت پیوسته هست چرا منها گذاشتن پس؟

من رشتم ریاضی فیزیکه و فک کنم این تدریس مال تجربیه . تکلیف من چیه ک هیچکدوم این مثالا تو کتابم نیس؟

سلام منم ریاضی فیزیک هستم تو کتاب خیلی کم درموردش گفته اینا رو ببینی میتونی تمرین ها و تست های مربوط بهش که خیلی هست رو حل کنی و اینکه کتاب رشته ریاضی و تجربی مثل همه فقط ما یکم مطالب و یه قسمت از فصل هارو بیشتر داریم که خود استاد جدا کلاس گذاشتن

@آرزو اسماعیل‌زاده و اینکه این تدریس برای صفحه 4 و 5 کتاب درسی هست

سلام روش پیدا کردن سرعت چطوری هستش؟

الان تو امتحان نهایی از روش استاد باید بریم یا فرمول

هر دو تاش درسته منتها باید با جزئیات کامل بنویسید

واسه تقسیم به پنج عددو ضرب در دو می‌کنيم تقسیم بر ده سریع به جواب می‌رسیم 1۶<--۱۶۰=۲×۸۰

واسه ضرب در ۵ هم برعکس عمل می‌کنیم یعنی عددو تقسیم به دو می‌کنیم بعدش ضرب در ده می‌کنیم ۲۱۰<--۲۱=۲÷۴۲<--۵×۴۲

آموزش ویدیویی حرکت روی خط راست برنامه مطالعاتی 150 روزه هفته 10 توسط بهترین اساتید کنکور به همراه جزوه ، تست ، تمرین و رفع اشکال کنکور | کنکور - آکادمی امروز