انواع تابع و مقدار تابع

3/5
(2 رای)

23 اسفند

گرما(بدون تغییر حالت)
گرما(بدون تغییر حالت)

`01:34

1 تمرین

گردش مواد در جانداران(قسمت 2)
گردش مواد در جانداران(قسمت 2)

`01:17

تست درس 3
تست درس 3

`00:54

1 تمرین

 انواع تابع و مقدار تابع
انواع تابع و مقدار تابع

`01:13

1 تمرین

50 ساعت تدریس کاملا رایگان زیست برای دریافت ویدیو ها شماره ت رو وارد کن
سوالات دیگران

سلام ببخشید این تست ۱۰ رو فقط باید با دستگاه حل کرد اخه اصلا من فکرم به دستگاه نرفت اگه روش دیگه ای هست لطف میکنید بگید

سلام بله از اون روش باید برید

سلام میشه بگید توابع صعودی و نزولی رو کجا میتونم پیدا کنم؟ من با لپتاپ میبینم نمیتونم با لینک برم

Tara :) | آکادمی امروز

Tara :)

2 هفته پیش

سلام روز خوش در رابطه با توابع صعودی و نزولی اشاره دقیق نشده چون بین تدریس ها بوده اکثرا ولی برا اینکه بیشتر با نمودار ها اشنا بشین فیلمای فصل ۲ درس اولش میتونه کمک کننده باشه😊

سارا سلطانی | آکادمی امروز

سارا سلطانی

1 هفته پیش

@Tara :) مرسی عزیزم

Tara :) | آکادمی امروز

Tara :)

1 هفته پیش

@سارا سلطانی خواهش میکنم موفق باشید🌱

حتما باید سه برابر باشه نمیشه مثلا اگه پنج برابر بود این روشو رفت ؟ دقیقه 12 و 28 رو منظورمه

بهار حیدری | آکادمی امروز

بهار حیدری

2 ماه پیش

سلام خدمت شما فرقی نمی کنه ، اگر می خوای برای خودت اثباتش کنی به جای اینکه 2، 3برابر بشه 5 برابرش کن که میشه به این صورت 10x+a بر روی 7+2x طبق چیزی که دبیر گفتن انجام بدیم a=35 بعد برای کسر جدید فاکتور می گیریم که به 5 میشه و فاکتورش میشه (7+2x)5 حالا به مخرج که 7+2x هست پرانتز خط می خوره و فقط 5 باقی می مونه در صورت کسر و تابع ثابت به صورت 5=f(x) میشه.

سلام وقت بخیر میگم استاد تابع صعودی و نزولی رو توضیح ندادن ؟ چرا من نمیتونم پیداشون کنم؟

سلام این مبحث رو چک کنید https://emrooz.ir/cbgstbc-1821

میشه این سوال رو توضیح بدید

اگر ویس ناواضح بود بگید دوباره ضبط کنم 🌷 ریپلای نباشه 🌷

میشه چی یاد گرفتی 2 رو توضیح بدید

اگر ویس ناواضح بود بگید دوباره ضبط کنم 🌷 ریپلای نباشه 🌷

چرا aشد ۲ـ و bشد ۷

Tara :) | آکادمی امروز

Tara :)

2 هفته پیش

سلام وقت بخیر وقتی دستگاه رو حل کنید به این مقادیر میرسین مثلا یه منفی در عبارت پایین ضرب کنید b ها حذف میشن و بعد a بدست میاد بعدش مقدار a رو در یکی از عبارت ها جایگذاری کنید مقدار b هم بدست میاد

سلام این سوالو میشه با این روش هم حل کرد عدد ۲ رو در هر معادله جایگذاری کنیم به جواب ۱۱ می‌رسیم.

استاد در مثالی که زدید همیشه مقادیر بالامثلا کا برابر پایینی میشه

اگر ویس ناواضح بود بگید دوباره ضبط کنم 🌷 ریپلای نباشه 🌷

استاد ببخشید از کجا باید بدونیم که این تابع مثلا همانی هست یا خطی

اگر ویس ناواضح بود بگید دوباره ضبط کنم 🌷 ریپلای نباشه 🌷

Zahra =) | آکادمی امروز

Zahra =)

2 ماه پیش

@سید محمد متین رشادی ویستون ناواضحه لطف میکنید دوباره توضیح بدید

چرا انقد خودازاری دارین از (y-y)=m(x-x) زیر یه دیقه حل میشه

هر روشی که باهاش سریعتر به جواب برسید، در اولویت هست 🌷

سلام نمیشه گفت که عدد اول دامنه با عدد اول برد و عدد دوم دامنه با عدد دوم برد دئ تا نقطه رو به وجود می آورند که اگر با این دو تا نقطه ضابطه را بنویسیم همین ضابطه میشه و از روی اون جواب ها رو پیدا کنیم دو تا نقطه (2و0) و (1و2) حالا ضابطه رو مینویسیم b=-2 و F(x)= ax+b F(x)= ax-2 1=2a-2 a=3/2 F(x)= 3/2x-2 F(2/3)= 3/2(2/3)-2= -1

من برای این سوالا همیشه اینشکلی حساب میکنم ، راه حلم اشتباهه؟

درسته البته ممکنه سوال رو یطوری بدن که همیشه با یک روش نشه حل کرد 🌷

میشه چی یاد گرفتی 2 رو توضیح بدین؟

Tara :) | آکادمی امروز

Tara :)

2 هفته پیش

سلام وقت بخیر

z z | آکادمی امروز

z z

4 ماه پیش

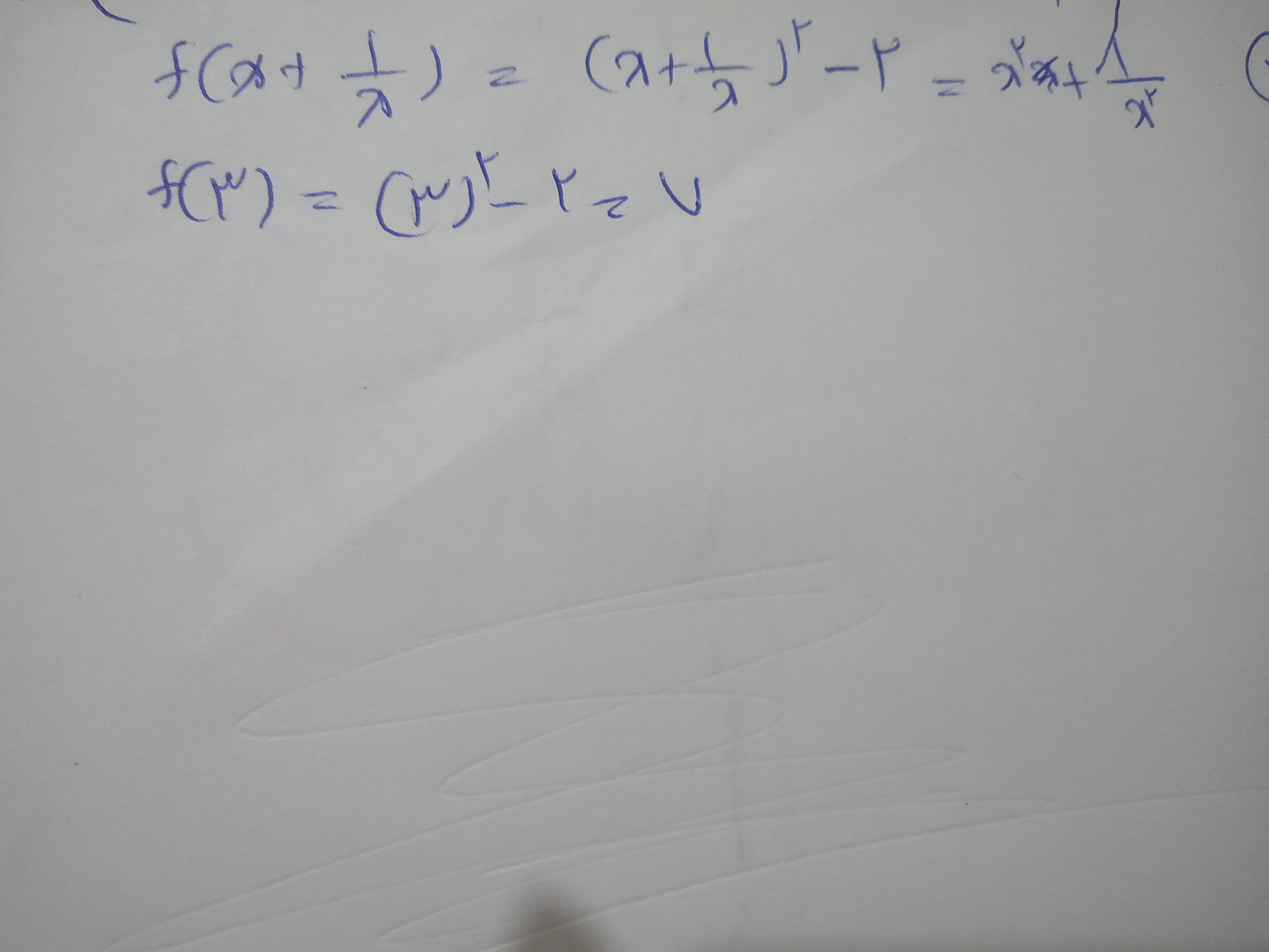
سلام ببخشید اگر در این سوال به جای اف ایکس مثلا اف 4 داده بود اون وقت 4 رو در 4ایکس بعلاوه 1 جایگذاری می کردیم؟

سلام اگه منظورتون رو روی کاغذ بنویسید من چک کنم خیلی بهتره 🌷

آموزش ویدیویی انواع تابع و مقدار تابع برنامه مطالعاتی 120 روزه هفته 3 توسط بهترین اساتید کنکور به همراه جزوه ، تست ، تمرین و رفع اشکال کنکور | کنکور - آکادمی امروز