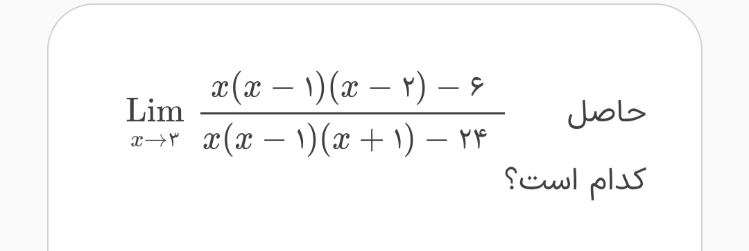
تست رفع ابهام های 0/0 غیر مثلثاتی

19 فروردین

رفع ابهام‌های 0/0 غیر مثلثاتی
رفع ابهام‌های 0/0 غیر مثلثاتی

`00:40

همانندسازیDNA
همانندسازیDNA

`02:06

 مروری بر الکل،اسید و استر + پلی استرها
مروری بر الکل،اسید و استر + پلی استرها

`00:41

1 تمرین

همانندسازی در پروکاریوت ها و یوکاریوت ها
همانندسازی در پروکاریوت ها و یوکاریوت ها

`00:47

1 تمرین

تست رفع ابهام های 0/0 غیر مثلثاتی
تست رفع ابهام های 0/0 غیر مثلثاتی

`00:33

1 تمرین

تست های همانندسازی(قسمت اول)
تست های همانندسازی(قسمت اول)

`00:27

50 ساعت تدریس کاملا رایگان زیست برای دریافت ویدیو ها شماره ت رو وارد کن
سوالات دیگران
غزل کیماسی | آکادمی امروز

غزل کیماسی

2 ماه پیش

سلام ، میشه ساده کردن اخرشو بگید چیکار کردن استاد

سلام تست 18 رو میزارید ؟

سلام بفرمایید https://emrooz.ir/cbgstbc-56462

ساناز کتی | آکادمی امروز

ساناز کتی

7 ماه پیش

درست حل کردم دوستان؟

درسته هوپیتال زدید

ساناز کتی | آکادمی امروز

ساناز کتی

7 ماه پیش

@سید محمد متین رشادی ممنون بابت پاسخگوییتون

ساناز کتی | آکادمی امروز

ساناز کتی

7 ماه پیش

ببخشید سوال ۱۸ تو جزوه ما کجاست؟

این لینک ویدیوش هست https://emrooz.ir/cbgstbc-56462 اگر جزوه ناقصی داره،حتما به پشتیبانی سایت اطلاع بدید 🌷

میشه این سوال رو به صورت ساده کردن انجام دهید

در سوال 16 اگه در مخرج توان 2 نداشتیم اون موقع هم باید عبارت هایی که غ=عامل صفرشونده دارند رو جدا جدا به صورت کسری بنویسی/؟؟

نرگس مهدوی | آکادمی امروز

نرگس مهدوی

tik

8 ماه پیش

سلام اگر توی مخرج عامل صفر شونده داشته باشیم باید اون عامل صفر شونده رو یجوری ساده کنی تا بتونی حد بگیری

سلام خسته نباشید بی زحمت تمرین ۱۲ رو توضیح می‌دهید 🙏🏻

سلام ببخشید من مبهم قسمت رادیکال ایکس درفرجه ۳رونفهمیدم ضریب پشت نوشته بشه دیگه چرادوباره فرجه نوشته میشه

سلام شکل ساده شده همین فرمول هست در کل بنظرم مشتق رادیکال با فرجه دو ایکس و رادیکال با فرجه سه ایکس رو حفظ کنی،خوبه ولی این فرمول کلی رو حتما بلد باش

سلام وقت بخیر میشه لطفا تمرین 6 رو روی برگه حل کنید؟ ممنون

NAFAS ‌ | آکادمی امروز

NAFAS ‌

1 سال پیش

مگه شیب خب نمیشد تانژانت زاویه ای که با سمت مثبت محور ایکس ها میسازه اینجا که که آلفا سمت منفیه محور ایکسه؟! میشه توضیح بدید..

زینب مقدم | آکادمی امروز

زینب مقدم

tik

1 سال پیش

جواب به صورت صوتی می باشد:)

سلام توی دقیقه۳ چجوری مشتقf(x)رو گرفتن؟

سلام اینو بخاطر داشته باشید

سلام چرا برای مشتق دو برابر رادیکال ها شد؟ میشه بهم توضیح بدید ممنونم

سلام از این ثانیه به بعد متوجه نشدم چرا استاد واسه اف ایکس همچین کارایی رو کردن! ممنونم بهم توضیح بدید 🙏

جواب به صورت صوتی می باشد:)

سلام روش دیگه ای این سوال نداره؟

سلام بهترین روشش همینه

استاد موقع قرار دادن عدد ۱ در معادله تو آخر برای تعیین حد ۵ رو ۴ نوشتن تو صورت

توی صورت،یک چهارم بر روی شش داریم دیگه عدد پنج رو از کجا آوردی شما؟

آموزش ویدیویی تست رفع ابهام های 0/0 غیر مثلثاتی برنامه مطالعاتی 120 روزه هفته 7 توسط بهترین اساتید کنکور به همراه جزوه ، تست ، تمرین و رفع اشکال کنکور | کنکور - آکادمی امروز