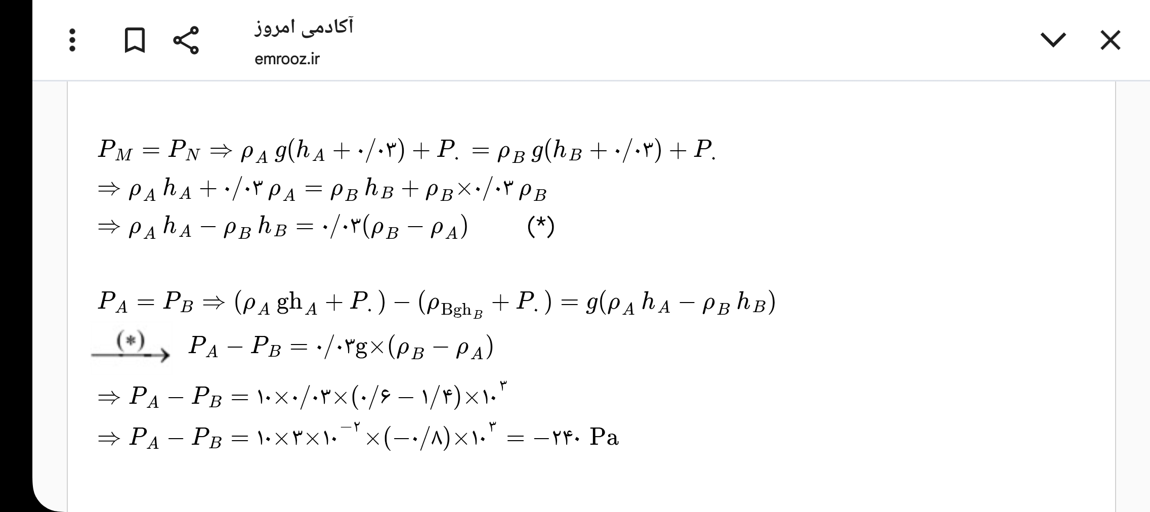
لوله های U شکل با سطح مقطع متفاوت

4.9/5
(79 رای)

مرحله23

شبکه هادی قلب
شبکه هادی قلب

`01:12

1 تمرین

 لوله های U شکل با سطح مقطع متفاوت
لوله های U شکل با سطح مقطع متفاوت

`01:04

1 تمرین

چرخه کار قلب
چرخه کار قلب

`01:28

تعداد و علامت ریشه ها
تعداد و علامت ریشه ها

`00:56

1 تمرین

50 ساعت تدریس کاملا رایگان زیست برای دریافت ویدیو ها شماره ت رو وارد کن
سوالات دیگران
H Z | آکادمی امروز

H Z

2 روز پیش

سلام اینجا نمیشه گفت که از اینور به اندازه ۴سانتی متر چون رفته بالا و اینور بگیم به اندازه ۱۰ سانتی متر اومده پایین چون دراصل این بوده که ۵سانتی متر اومده پایین دوسانت رفته بالا حالا که ۴ سانت رفته بالا بگیم ۱۰ سانت اومده پایین؟

میدونید این سوال جواب نهاییش چند میشه؟

استاد ساعتت خواب نیست ؟؟؟

عجیبه که تونستم حل کنم

هانیه رفیع | آکادمی امروز

هانیه رفیع

2 هفته پیش

ضرایب رو همیشه به ما تو سوال میدن؟

کوثر مهتری | آکادمی امروز

کوثر مهتری

4 هفته پیش

نفهمیدم چرا وقتی فقط x رو از ما میخواد باید ضربدر ۳x کنیم؟؟

مائده علمی | آکادمی امروز

مائده علمی

1 ماه پیش

اینم پاسخش

مائده علمی | آکادمی امروز

مائده علمی

1 ماه پیش

سلام وقت بخیر این سوال رو توضیح میدید ممنون

Ayla .... | آکادمی امروز

Ayla ....

2 ماه پیش

جواب چی یاد گرفتی گزینه ۳

تطبیق با پاسخنامه فراموش نشه 🌷

z z | آکادمی امروز

z z

2 ماه پیش

سلام ببخشید اگر می گفت فشار 2 کیلو پاسکال باشد در سمت چپ . باید دلتا اچ رو مساوی 5ایکس می گذاشتیم؟؟؟

میتونیم اینطوری بگیم که توی سمتی که سطح مقطع بیشتره چون سطح مقطع با فشار رابطه ی عکس داره و هرچه سطح مقطع بیشتر باشه فشار کمتری از سوی جرم وارد میشه پس اینجا چون فشار کناری وارد میشه مایع کمتر میاد پایین پش ارتفاعش بیشتره؟

اگر ویس ناواضح بود بگید دوباره ضبط کنم 🌷 ریپلای نباشه 🌷

لطفاً عکس از پاسخنامه هم ارسال کنید از روی همون بهتون توضیح میدم 🌷 ریپلای نباشه 🌷

درود . میشه این سوالا رو حل کنین

لطفاً عکس از پاسخنامه هم ارسال کنید از روی همون بهتون توضیح میدم 🌷 ریپلای نباشه 🌷

آموزش ویدیویی لوله های U شکل با سطح مقطع متفاوت برنامه مطالعاتی دهم دهم توسط بهترین اساتید کنکور به همراه جزوه ، تست ، تمرین و رفع اشکال کنکور | کنکور - آکادمی امروز