تابع نمایی

4.8/5
(52 رای)

مرحله ۳۴

تابع نمایی
تابع نمایی

`01:03

2 تمرین

انرژی درونی
انرژی درونی

`00:56

1 تمرین

سامانه بافتی نخستین(قسمت 2)
سامانه بافتی نخستین(قسمت 2)

`01:24

1 تمرین

توان متوسط
توان متوسط

`01:30

1 تمرین

50 ساعت تدریس کاملا رایگان زیست برای دریافت ویدیو ها شماره ت رو وارد کن
سوالات دیگران

مفهوم این سوال چیه؟

اگر ویس ناواضح بود بگید دوباره ضبط کنم 🌷 ریپلای نباشه 🌷

سلام چرا باید عکس شه؟

اگر ویس ناواضح بود بگید دوباره ضبط کنم 🌷 ریپلای نباشه 🌷 البته این قانونی که بهتون گفتم، وقتی برقراره که علامت دو طرف نا معادله با هم یکی باشه یعنی یا جفتش مثبت باشه، یا جفتش منفی باشه که اینجا هر دو طرف مثبته

سلام توی این سوال با توجه به چیزی ک استاد گفت اینجام باید بین صفر و یک میشد چرا نشده؟

اگر ویس ناواضح بود بگید دوباره ضبط کنم 🌷 ریپلای نباشه 🌷

استاد لگاریتم رو اینجوری می‌نویسیم log درسته؟

Tara :) | آکادمی امروز

Tara :)

3 ماه پیش

سلام وقت بخیر بله درسته

Raziyeh  Zibapasand | آکادمی امروز

Raziyeh Zibapasand

3 ماه پیش

@Tara :) مرسی عزیزم

1- ۲ ۲- ۲

جوابش میشه گزینه دو یعنی منفی یک

لعیا براتی | آکادمی امروز

لعیا براتی

6 ماه پیش

سلام اینو توضیح میدین؟

تابع نمایی یعنی چی ؟

یعنی تابعی به توان رسیده باشد

Raziyeh  Zibapasand | آکادمی امروز

Raziyeh Zibapasand

3 ماه پیش

عزیزم یعنی اینکه ما یه تابع داریم که به توان ۲ یا هر عدد دیگه‌ای شده باشه

چرااستاد مثال حل نمیکنه از کتاب!؟

نرگس مهدوی | آکادمی امروز

نرگس مهدوی

tik

8 ماه پیش

سلام مثال و تست هم حل میشه تو تدریس ها

سلام و درود اینجا b چه اتفاقی واسش افتاد متوجه نمیشم ممنون میشم توضیح بدین 🙏

نرگس مهدوی | آکادمی امروز

نرگس مهدوی

tik

8 ماه پیش

سلام b با توان منفی ۱/۲ توی مخرج میره توی صورت توانش مثبت میشه یعنی توی صورت داریم b به توان ۱ ضربدر b به توان ۱/۲ طبق قانون توان ها، اگر پایه ها برابر باشه، میتونی توان ها رو با هم جمع کنی پس ۱/۲+۱=۳/۲

عجب سوالی 👌

نرگس مهدوی | آکادمی امروز

نرگس مهدوی

tik

8 ماه پیش

به به✌️

سلام

نرگس مهدوی | آکادمی امروز

نرگس مهدوی

tik

8 ماه پیش

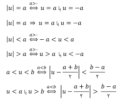
سلام روش حل این نامعادلات این شکلی هست خط ۳ و ۴ این تصویر رو ببین

سلام اینجا چرا غلات 9 و 8 عوض شدن ؟!

نرگس مهدوی | آکادمی امروز

نرگس مهدوی

tik

8 ماه پیش

سلام میخایم به جای t عدد هایی بزاریم که این عبارت ها رو صفر کنن اگر علامتاشثن برعکس باشه باعث صفر شدن پرانتزشون میشن

سلام اینجا چرا علاوه 9 و 8 عوض شدن اول 9 منی بود بعد شد مثبت 8 هم مثلت بود شد منفی !!؟

نرگس مهدوی | آکادمی امروز

نرگس مهدوی

tik

8 ماه پیش

سلام سوالتون رو با ذکر تایم کامنت کنین🪷

همیشه قابل اندازه گیری نیست؟ یا بعضی وقتا میشه محاسبش کرد؟

آموزش ویدیویی تابع نمایی برنامه مطالعاتی دهم دهم توسط بهترین اساتید کنکور به همراه جزوه ، تست ، تمرین و رفع اشکال کنکور | کنکور - آکادمی امروز