تعادل گرمایی(با تغییر حالت بدون دمای تعادل)_قسمت1

4.8/5
(33 رای)

مرحله ۴۳

گردش مواد در جانداران(قسمت1)
گردش مواد در جانداران(قسمت1)

`01:18

2 تمرین

حلال ها و فرایند انحلال
حلال ها و فرایند انحلال

`00:30

1 تمرین

دنباله حسابی
دنباله حسابی

`00:57

1 تمرین

50 ساعت تدریس کاملا رایگان زیست برای دریافت ویدیو ها شماره ت رو وارد کن
سوالات دیگران

سلام وقت بخیر چرا استاد m رو قبل تساوی همه رو تبدیل به گرم کردن اما بعد تساوی که m بر حسب گرم هست رو به کیلوگرم تبدیل کردن؟ چرا همون 250 گرم رو تنها ننوشتن؟

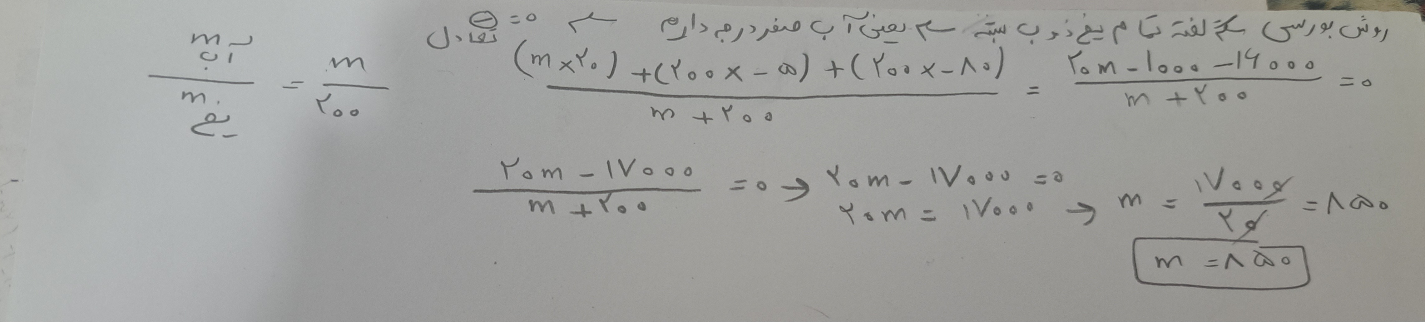
جواب چی یاد گرفتی با روش بورسی چجوری میشه؟؟

فکر کنم اینطوری بشه

سلام وقتتون بخیر باشه اقای رشادی ی سوال دارم اینجا توی حل خانوم مهدوی چرا باید q=qقرار میگرفت

سلام میشه جواب چی یادگرفتی رو با روش بورسی بفرستید ؟

تطبیق با پاسخنامه فراموش نشه 🌷

سلام وقتتون بخیر باشه ببخشید میشه روش تشریحشو بنویسین بفرستین البته پیام‌ها رو نگاه کردم یه روش تشریحی بود ولی متوجه‌اش نشدم بازم😓

بهار خرمی | آکادمی امروز

بهار خرمی

4 ماه پیش

سلام وقتت بخیر باشه چون تصویر روش حل هست من توضیح میدم شاید بهتر متوجه بشی کیو و کیو پریم را مساوی هم میگذاریم چون گفته تموم یخ آب شده اگر از روش اول می رفتیم دو تا مجهول داریم پس از روس مساوی قرار دادن این دو میریم سمت کیو ، فرمول ام سی دلتا تتا قرار میدیم چون فقط تغییر دما داریم و سمت کیو پریم دوتا کیو هست یکی مربوط به تغییر دما یخ منفی ده درجه به یخ صفر درجه و کیو بعدی تغییر حالت یخ به آب جمع این دو کیو پریم مساوی با کیو قرار میدیم و جواب بدست میاد امیدوارم متوجه شده باشی

z z | آکادمی امروز

z z

4 ماه پیش

سلام ببخشید چرا استاد در این سوال mرو مثل سوال قبل تنها توی سوال جاگذاری نکردند و اینکه تو سوال قبل ام کلا تنها بود وبعد بعلاوه 100 شدولی الان کلا ام بعلاوه اون جرم باقی مانده شد دوباره در اخر هم بعلاوه شد ؟؟؟؟

z z | آکادمی امروز

z z

4 ماه پیش

ببخشید چرا چی یادگرفتی با روشی که استاد گفتند که اگر روی سوال جرم یخ ذوب شده یا ... خواستند هر مقدار اب داغ 80 درجه هم جرم خود یخ صفر در جه را به طور کامل در خود ذوب می شود چرا با این روش جواب درست نمیاد؟

@z z سلام به دلیل اینکه اینجا ما یخ صفر درجه نداریم این فرمول که دمای آب ۸۰ درجه یخ رو تو خودش ذوب میکنه برای یخ صفر درجه است ولی ما اینجا یخ منفی تتا داریم توی این مسئله دمای یخ ۲۰_ است نه صفر درجه.

z z | آکادمی امروز

z z

4 ماه پیش

سلام بخشید ما در اینجا می تونیم کلا دما تعادل رو صفر در در نظر بگیریم واز روش استاد که تکنیک بورسی است استفاده کنیم بازم درست بدست میاد یعنی این روش درسته ؟؟

z z | آکادمی امروز

z z

4 ماه پیش

منظورم دقیقه 6

من همشون رو m گذاشتم و همین جواب رو بدست اوردم ، فقط برای این مسئله اینجوری بود یا برای بقیه هم جواب میده ؟

متوجه منظورتون نشدم عکس راه حلتون رو برام بفرستید 🌷 ریپلای نباشه 🌷

سلام ببخشید اینجا تغییر حالته و بدون دمای تعادل. پس من از این روش رفتم درسته؟؟ چون اینجا گفته تمام یخ ذوب شود واسه همین باید دمای تعادل رو صفر در نظر میگرفتیم؟؟ تحلیلم درسته؟

بله درسته کافیه تتا رو برابر صفر بذاری و با حل یه معادله ساده جواب بدست میاد.

Maedeh karami | آکادمی امروز

Maedeh karami

4 ماه پیش

@آمیار نالوسی سلام چرا تتا رو تو روش بورسی برابر صفر گذاشتین؟

@Maedeh karami چون دمای تعادل صفره. آب صفر درجه

@Maedeh karami وقتی گفته چقدر آب بیست درجه لازمه تا تمام یخ ذوب شود. یعنی دمای تعادل آب صفر درجست

غزل غضنفری | آکادمی امروز

غزل غضنفری

5 ماه پیش

درسته؟

بله

غزل غضنفری | آکادمی امروز

غزل غضنفری

5 ماه پیش

درسته جوابم

درسته 🌷

نتونستم یاد بگیریم این درسو حل کنم تو پاسخنامه نگاه کردم جواب میشه گزینه ۳ ولی من هر دفعه که حل میکنم جواب متفاوت به دست میاد میشه بگید چطوری حلش کنم

سلام بفرمایید خانم مقدم حل کردن

اقا خیر این دنیا و اخرتو ببینی من یه عالمه وقتمو سر کلیپ ها 4 5 ساعته میذاشتم هیچی نمیفهمیدم خدایی دست مریزاد انقدر که خوب تدریس میکنی

بخیر گذشت.‌.

نرگس مهدوی | آکادمی امروز

نرگس مهدوی

tik

7 ماه پیش

خداروشکر🥲

آموزش ویدیویی تعادل گرمایی(با تغییر حالت بدون دمای تعادل)_قسمت1 برنامه مطالعاتی دهم دهم توسط بهترین اساتید کنکور به همراه جزوه ، تست ، تمرین و رفع اشکال کنکور | کنکور - آکادمی امروز