تست4

5/5
(1 رای)
برای مشاهده، ابتدا وارد شوید.
ورود و مشاهده فیلم

18 اسفند

برون ده و نوار قلب
برون ده و نوار قلب

`01:30

1 تمرین

تابع لگاریتمی
تابع لگاریتمی

`01:39

2 تمرین

مفهوم و مسائل انحلال پذیری
مفهوم و مسائل انحلال پذیری

`00:49

قضیه کار-انرژی جنبشی
قضیه کار-انرژی جنبشی

`01:14

1 تمرین

50 ساعت تدریس کاملا رایگان زیست برای دریافت ویدیو ها شماره ت رو وارد کن
سوالات دیگران

چطور فهمیدیم بالای نیمسازxمیشه؟

نرگس مهدوی | آکادمی امروز

نرگس مهدوی

tik

9 ماه پیش

سلام خط y=x رو میکشی و قسمت هایی از نمودار که بالای این خط قرار داره رو مشخص میکنی

ببخشیدXچجوری نیمساز ربع اول وسوم‌ میشه؟

نرگس مهدوی | آکادمی امروز

نرگس مهدوی

tik

9 ماه پیش

سلام به تصویر پایین توجه کن

ببخشیدXچجوری نیمساز ربع اول وسوم‌ میشه؟

نرگس مهدوی | آکادمی امروز

نرگس مهدوی

tik

9 ماه پیش

سلام توضیح دادم تو کامنت قبلیتون

سلام اگه 2_ رو توی معادله صدق بدیم جواب گ3 میشه درسته؟؟

اگر ویس ناواضح بود بگید دوباره ضبط کنم ریپلای نکنید 🌷

..  . | آکادمی امروز

.. .

1 سال پیش

سلام ببخشید میشه روش بدون رسم نمودارشم توضیح بدید؟

نرگس مهدوی | آکادمی امروز

نرگس مهدوی

tik

1 سال پیش

سلام در اون صورت باید نامعادله ای که توی زمان ۱:۰۸ هست رو ساده کنین تا بتونین مقادیرش رو بدست بیارین حلش رو برات میفرستم

..  . | آکادمی امروز

.. .

1 سال پیش

@نرگس مهدوی ممنون

نرگس مهدوی | آکادمی امروز

نرگس مهدوی

tik

1 سال پیش

@.. . ❤️

@نرگس مهدوی ميشه لطف کنید برای منم بفرستید

. . | آکادمی امروز

. .

1 سال پیش

سلام اشکال این روش چیه؟

سلام آخرش باید اجتماع بگیری نه اشتراک

(1)

سلام وقت بخیر آیا این روش ها رو میتوانیم برای تشریحی امتحان نهایی حل کنیم ؟یا اینها روش تستی ؟

(1)

سلام بله این روشی که استاد حل کرد برای نهایی اوکیه

(1)

سلام وقت شما بخیر اینو از دو روش برام توضیح میدید

جواب به صورت صوتی می باشد:)

سلام وقت بخیر اگر خواستیم که یه قدرمطلق رو به توان 2 برسونیم چه جوری میشه؟ فقط قدر مطلق از بین میره؟ یا عبارت داخلش هم به توان 2 میرسه؟ مثلا |x-2|

(1)

نرگس رحیمی | آکادمی امروز

نرگس رحیمی

tik

2 سال پیش

جواب به صورت صوتی می باشد:)

(1)

ببخشید من متوجه نشدم ک چرا xرو اینجوری کشید روی محور یعنی همیشه اینجوریه؟

نرگس رحیمی | آکادمی امروز

نرگس رحیمی

tik

2 سال پیش

جواب به صورت صوتی می باشد:)

Ramin Hajibandeh | آکادمی امروز

Ramin Hajibandeh

2 سال پیش

سلام . وقتتون بخیر اشتباه من چیه ؟

(1)

نرگس رحیمی | آکادمی امروز

نرگس رحیمی

tik

2 سال پیش

جواب به صورت صوتی می باشد:)

Ramin Hajibandeh | آکادمی امروز

Ramin Hajibandeh

2 سال پیش

@نرگس رحیمی سلام . خسته نباشید چند بار توضیحاتتون رو گوش دادم و اینا رو متوجه شدم . کجا رو متوجه نشدم ؟ ممنون 🙌

نرگس رحیمی | آکادمی امروز

نرگس رحیمی

tik

2 سال پیش

@Ramin Hajibandeh جواب به صورت صوتی می باشد:)

Ramin Hajibandeh | آکادمی امروز

Ramin Hajibandeh

2 سال پیش

@نرگس رحیمی ممنون 🙌

(1)

عذر میخوام ممکن با روشی حل گزینه ها برام حل کنید!

(1)

پاسخ بصورت ویس قرار گرفت.

@سجاد اسماعیلی خبلی ممنونم

(1)

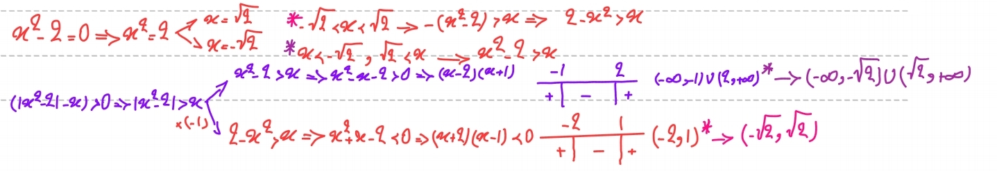
سلام روش حل اون عبارت و بدون نمودار میشه بنویسید؟

(1)

پاسخ بصورت عکس قرار گرفت.