تست9

برای مشاهده، ابتدا وارد شوید.
ورود و مشاهده فیلم

12 شهریور

 مقدمات دستگاه درون ریز
مقدمات دستگاه درون ریز

`00:48

1 تمرین

 غده های بدن و دستگاه درون ریز
غده های بدن و دستگاه درون ریز

`00:48

1 تمرین

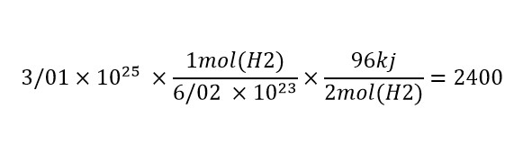
 آنتالپی پیوند + آنتالپی پیوند راهی برای پیداکردن آنتالپی واکنش
آنتالپی پیوند + آنتالپی پیوند راهی برای پیداکردن آنتالپی واکنش

`00:55

1 تمرین

 تست آنتالپی
تست آنتالپی

`01:00

1 تمرین

 آشنایی با اجزای مدار (باتری) + ولت سنج و آمپرسنج
آشنایی با اجزای مدار (باتری) + ولت سنج و آمپرسنج

`01:10

50 ساعت تدریس کاملا رایگان زیست برای دریافت ویدیو ها شماره ت رو وارد کن
سوالات دیگران

بین دو کروشه باید منفی باشه نه مثبت

(1)

nikan . | آکادمی امروز

nikan .

10 ماه پیش

نمیشه 4 تا پیوند یگانه H---H ؟؟؟

اگر ویس ناواضح بود بگید دوباره ضبط کنم ریپلای نکنید 🌷

(1)

تشریحی لطفا

نرگس مهدوی | آکادمی امروز

نرگس مهدوی

tik

1 سال پیش

سلام به دست اوردن دلتا اچ مطابق همون راه حل استاده

سلام ببخشید درست حل شده؟؟

استیکومتریش تشریحی لطفا

(1)

زینب مقدم | آکادمی امروز

زینب مقدم

tik

1 سال پیش

سلام چشم

نرگس مهدوی | آکادمی امروز

نرگس مهدوی

tik

1 سال پیش

سلام براتون فرستادم :)

مگه تشکیل یک ترکیب گرما ازاد نمیکنه؟ واکنش گرماده نباید باشه؟ استاد گفتن گرما گیر عه.

خب بستگی داره اینجا هم سمت چپ ترکیب داریم هم سمت راست آنتالپی های پیوند تعیین میکنند که گرما کیر باشه یا گرماده نظر قطعی نمیشه داد فقط در صورتی میشه نظر قطعی داد که مثلا ما سمت چپ فقط اتم های آزاد داریم و حالا این اتم ها میان به هم متصل میشه در این حالت حتما گرماده هست

@سید محمد متین رشادی ممنون متوجه شدم بله با توجه به آنتالپی ها مشخص میشه.

زهرا کرمی | آکادمی امروز

زهرا کرمی

1 سال پیش

میشه با استوکیومتری بخش دوم سوال رو برام بزاریذ

مبین قاسمی | آکادمی امروز

مبین قاسمی

2 سال پیش

فکر کنم جواب بشه گزینه 4

زینب مقدم | آکادمی امروز

زینب مقدم

tik

2 سال پیش

دو برابر گفتی😅

سلام ببخشید اینجا از کجا فهمیدیم N پیوند 3 گانه داره؟ چرا اونیکی رو ننوشتیم؟

زینب مقدم | آکادمی امروز

زینب مقدم

tik

2 سال پیش

سلام ساختار لوییس N2 این شکلیه که پیوند سه گانه بین نیتروژن ها هست