تست 17

5/5
(1 رای)
برای مشاهده، ابتدا وارد شوید.
ورود و مشاهده فیلم

مرحله 38

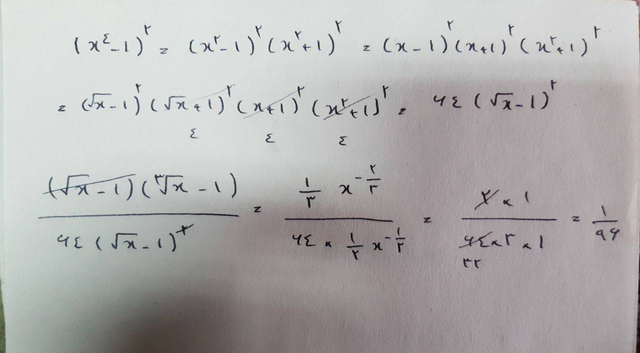
رفع ابهام‌های 0/0 غیر مثلثاتی
رفع ابهام‌های 0/0 غیر مثلثاتی

`00:40

 آلدهیدها و کتون ها
آلدهیدها و کتون ها

`00:37

1 تمرین

تقسیم سیتوپلاسم و تنظیم چرخه یاخته
تقسیم سیتوپلاسم و تنظیم چرخه یاخته

`00:57

2 تمرین

تست رفع ابهام های 0/0 غیر مثلثاتی
تست رفع ابهام های 0/0 غیر مثلثاتی

`00:32

1 تمرین

50 ساعت تدریس کاملا رایگان زیست برای دریافت ویدیو ها شماره ت رو وارد کن
سوالات دیگران

سلام تست 18 رو میزارید ؟

سلام بفرمایید https://emrooz.ir/cbgstbc-56462

ساناز کتی | آکادمی امروز

ساناز کتی

9 ماه پیش

درست حل کردم دوستان؟

درسته هوپیتال زدید

ساناز کتی | آکادمی امروز

ساناز کتی

9 ماه پیش

@سید محمد متین رشادی ممنون بابت پاسخگوییتون

ساناز کتی | آکادمی امروز

ساناز کتی

9 ماه پیش

ببخشید سوال ۱۸ تو جزوه ما کجاست؟

این لینک ویدیوش هست https://emrooz.ir/cbgstbc-56462 اگر جزوه ناقصی داره،حتما به پشتیبانی سایت اطلاع بدید 🌷

سلام توی دقیقه۳ چجوری مشتقf(x)رو گرفتن؟

سلام اینو بخاطر داشته باشید

مگه f(2)نمیشه 4؟ اون نقطه توپر 4 چیهه؟

نرگس مهدوی | آکادمی امروز

نرگس مهدوی

tik

1 سال پیش

سلام چون داریم حد رو میگیریم عددی که به سمت اون میلی میکنه رو حساب می کنیم که این جا میشه ۳ اتفاقا تله سوال هم همین توخالی گذاشتنه

(1)

نسا سیف | آکادمی امروز

نسا سیف

1 سال پیش

سلام. ممکنه این سوال رو توضیح بدین

سلام وقتتون بخیر ببخشید تمرین11 همین یادبگیریم رو میشه با روش هوپیتال حل کرد؟

نرگس رحیمی | آکادمی امروز

نرگس رحیمی

tik

2 سال پیش

جواب به صورت صوتی می باشد:)

(1)

سلام وقتتون بخیر خدا قوت✋🏻🌺 ببخشید تمرین سوم همین یادبگیریم رو میشه یه توضیح بدید اون 4بتوانx منهای یک به توان 2 که توی صورت کسر هس توی پاسخنامه از کجا اومد؟ ممنون میشم پاسخ بدید با تشکر🌹🙏🏻🌹

نرگس رحیمی | آکادمی امروز

نرگس رحیمی

tik

2 سال پیش

جواب به صورت صوتی می باشد:)

(1)

@نرگس رحیمی آها ممنون متشکرم🌺🙏🏻

(1)

https://emrooz.ir/cbgstbc-54230?question_id=2606 سلام این مورد از سوالات تمرین تو بخش پاسخنامه، تو همون اولین سطر نوشته شده که از کم توان استفاده شده ولی من متوجه نشدم چطوری خودم براساس گویا کردن تونستم سوال رو حل کنم و پاسخنامه رو هم متوجه شدم منتها اولین بخش پاسخنامه رو که نوشته ( کم توان) متوجه نشدم

نرگس رحیمی | آکادمی امروز

نرگس رحیمی

tik

3 سال پیش

جواب به صورت صوتی می باشد:)

@نرگس رحیمی جواب به صورت صوتی می باشد:)

نرگس رحیمی | آکادمی امروز

نرگس رحیمی

tik

3 سال پیش

@غزل اسماعیل پور درست میگین گلم برای همین فقط برای مخرج از این قاعده استفاده کردیم که عدد نداشت اما برای صورت نمیتونستیم استفاده کنیم .

@نرگس رحیمی خیلی ممنونم، نمی‌دونستم که میشه فقط برای صورت یا مخرج استفاده کرد اگر عبارت ما کسری نباشه هم باز میشه از این قاعده ( البته با در نظر گرفتن شرط هاش) استفاده کرد؟

نرگس رحیمی | آکادمی امروز

نرگس رحیمی

tik

3 سال پیش

@غزل اسماعیل پور گلم برای رفع ابهام ها از این قواعد استفاده میکنیم و در اینجا هم چون به کسر 0/0 میرسیم این قاعده رو استفاده کردیم .

@نرگس رحیمی درسته ممنون💗

(1)

سلام ببخشید سوال ۱۱ تمرین اگه بخوایم با هوپیتال بریم باید چجوری حل کنیم؟

نرگس رحیمی | آکادمی امروز

نرگس رحیمی

tik

3 سال پیش

جواب به صورت صوتی می باشد:)

(1)

@نرگس رحیمی ببخشید توی مشتق گرفتن پرانتز منفی دو سوم توی صورت و منفی یک دوم در مخرج چجوری محاسبه شدن؟

نرگس رحیمی | آکادمی امروز

نرگس رحیمی

tik

3 سال پیش

@امیرحسین زارعی جواب به صورت صوتی می باشد:)

(1)