قانون دوم نیوتون
`00:45
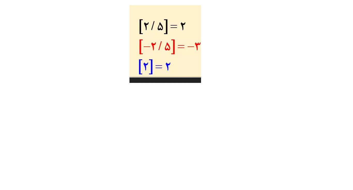
تست حد از روی ضابطه
`00:59
1 تمرین
انجام پذیر بودن یا نبودن واکنش ها
`00:41
1 تمرین
تست ها
`01:11
5+
امروزی هایی که تازه این مبحثو دیدن
حامد ملایی
دوازدهم تجربی - هرمزگان
امیر رضا حیدری
دهم تجربی - کرمانشاه
تینا خزان
دوازدهم تجربی - گیلان
نازنین کاووسی
دوازدهم تجربی - بوشهر
مهسا دولتی ایردموسی
فارغ التحصیل تجربی -
مهیا رحمانی
دوازدهم تجربی - آذربایجان غربی
آسیه ایستگلدی
دوازدهم تجربی - گلستان
زهره یعقوبی
یازدهم تجربی - زنجان
مهسا حتمی
دوازدهم تجربی - آذربایجان شرقی
حنانه غلامی
دهم تجربی - آذربایجان شرقی
= $('#player')[0]?.offsetHeight && openTab == 2 ? scrolledFromTop = true : scrolledFromTop = false">
5+
امروزی هایی که تازه این مبحثو دیدن
حامد ملایی
دوازدهم تجربی - هرمزگان
امیر رضا حیدری
دهم تجربی - کرمانشاه
تینا خزان
دوازدهم تجربی - گیلان
نازنین کاووسی
دوازدهم تجربی - بوشهر
مهسا دولتی ایردموسی
فارغ التحصیل تجربی -
مهیا رحمانی
دوازدهم تجربی - آذربایجان غربی
آسیه ایستگلدی
دوازدهم تجربی - گلستان
زهره یعقوبی
یازدهم تجربی - زنجان
مهسا حتمی
دوازدهم تجربی - آذربایجان شرقی
حنانه غلامی
دهم تجربی - آذربایجان شرقی
قانون دوم نیوتون
`00:45
تست حد از روی ضابطه
`00:59
1 تمرین
انجام پذیر بودن یا نبودن واکنش ها
`00:41
1 تمرین
تست ها
`01:11
سوالات دیگران
(2)
علیرضا الهی
2 سال پیش
چرا استاد عدد ۲ رو دو بار تو رابطه بالا قرار داد یگی برا نابود کردن براکت یکی یم بعد ساده کردن
کپی لینک
کپی لینک
سید محمد متین رشادی
4 ماه پیش
این منفی میره پشت آ