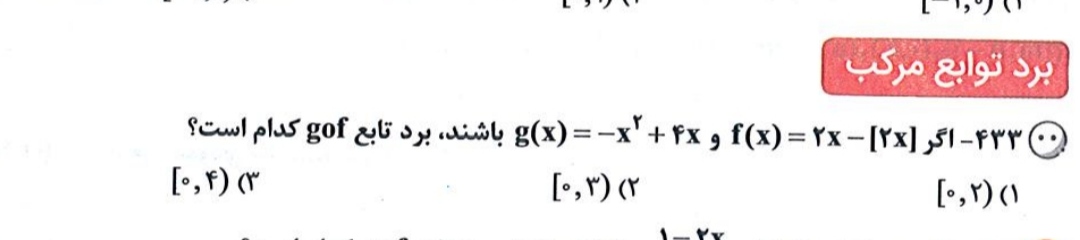
دامنه تابع مرکب

5/5
(5 رای)

9 اسفند

 بینایی و چشم(قسمت2)
بینایی و چشم(قسمت2)

`01:33

 تطابق
تطابق

`01:20

1 تمرین

 نام گذاری آلکان ها(2)
نام گذاری آلکان ها(2)

`00:45

1 تمرین

 دامنه تابع مرکب
دامنه تابع مرکب

`00:55

1 تمرین

 آشنایی با اجزای مدار (باتری) + ولت سنج و آمپرسنج
آشنایی با اجزای مدار (باتری) + ولت سنج و آمپرسنج

`01:10

50 ساعت تدریس کاملا رایگان زیست برای دریافت ویدیو ها شماره ت رو وارد کن
سوالات دیگران

تست سه چرا وقتی از راه اصلی میرسم گزینه یک میشه

ببخشید من وقتی از روش تعیین دامنه رفتم جواب گزینه یک میشه و چرا جواب فرق میکنه

عکس راه حلتون بفرستید ریپلای نباشه 🌷

مهری جهانی | آکادمی امروز

مهری جهانی

3 ماه پیش

میشه توضیح بدین چطور این شده

مهری جهانی | آکادمی امروز

مهری جهانی

3 ماه پیش

اگه میشه روش حل این رو برام حل کنید و توضیح بدین محاسباتشو .به مشکل خوردم

سلام ، این فصل لگاریتم ک استاد میگن همون درسه ک تو بخش ویدیو های دهم یازدهم فصل توابع نمایی و لگاریتم بود یا جای دیگه؟

سلام https://emrooz.ir/cbgst-162 اگر ویس ناواضح بود بگید دوباره ضبط کنم 🌷 ریپلای نباشه 🌷

مبینا سواری | آکادمی امروز

مبینا سواری

10 ماه پیش

سلام میشه این سوالو توضیح بدین

سلام اینجا من ضابته هارو ترکیب کردم ولی نشد میشه توضیح بدید

اگر ویس ناواضح بود بگید دوباره ضبط کنم ریپلای نکنید 🌷

سلام من از روش نوشتن ضابته رفتم و به جان خودم ساده هم نکردم😂 2- باز تا صفر باز بدست اومد میشه عکس راه حلشو اگه کسی نوشت بزاره؟ ممنون

اگر ویس ناواضح بود بگید دوباره ضبط کنم ریپلای نکنید 🌷

گفتیم اعدادی رو حذف میکنیم که اگر جای گذاری کنیم تعریف نشده بشه ولی خب وقتی 3 میزاریم جوابی به دست میاد پس گزینه ای رو انتخاب میکنیم که 3 نداشته باشه . اینجا رو بی زحمت توضیح میدید

نرگس مهدوی | آکادمی امروز

نرگس مهدوی

tik

1 سال پیش

سلام چون عدد ۳ جزو دامنه هست پس باید توی جواب ما باشه گرینه ۴ چون عدد ۳ رو شامل نمیشه پس نمیتونیم در نظر بگیریم

نرگس مهدوی | آکادمی امروز

نرگس مهدوی

tik

1 سال پیش

سلام در این صورت منهای دو رو میبری اون طرف میشه مثبت ۲ و با اون عبارت جمع میکنی

نرگس مهدوی | آکادمی امروز

نرگس مهدوی

tik

1 سال پیش

جواب به صورت صوتی می باشد:)

سلام

سلام نفهمیدم منظورتون کدوم آف ایکس هست (لطفا در پاسخ پیامم،ریپلای نکنید و کامنت جدید بذارید 🌷)

.Armita . | آکادمی امروز

.Armita .

1 سال پیش

پاسخنامه خیلی گنگ گفته میشه لطفا توضیح بدین

سلام این سوال چجوری حل میشه پاسخ تشریحیش رو نگا کردم متوجه نشدم

پاسخش این بود ما از کجا میدونیم که این عبارت بردش بین صفر تا یک

زینب مقدم | آکادمی امروز

زینب مقدم

tik

1 سال پیش

@فاطمه ارجمند سلام یه نکته ای وجود داره این که یه عبارت منهای براکتش بین ۰ تا ۱ میشه جواب توضیح میدم چجوری

زینب مقدم | آکادمی امروز

زینب مقدم

tik

1 سال پیش

اوکی تو اون یکی باکس توضیح میدم

@فاطمه ارجمند سلام خسته نباشید برای سینوس و کسینوس که برد بین0 و 1 هست و برای سینوس و کسینوس هم بین منفی 1 و 1هست و بقیش هم باید دامنش اول حساب کنید با فرمول بعد از رسم برد رو حساب کنید

فاطمه صفری | آکادمی امروز

فاطمه صفری

1 سال پیش

سلام من این سواله رو اصلا متوجه نمیشم

فاطمه صفری | آکادمی امروز

فاطمه صفری

1 سال پیش

لطفا واسم توضیح بدهید لطفا

اسما کریمی | آکادمی امروز

اسما کریمی

1 سال پیش

چجوری اینجا ایکس مخالف 8 بدست اومد

زینب مقدم | آکادمی امروز

زینب مقدم

tik

1 سال پیش

جواب به صورت صوتی می باشد:)

آموزش ویدیویی دامنه تابع مرکب برنامه مطالعاتی 150 روزه هفته 6 توسط بهترین اساتید کنکور به همراه جزوه ، تست ، تمرین و رفع اشکال کنکور | کنکور - آکادمی امروز