تست 7

برای مشاهده، ابتدا وارد شوید.
ورود و مشاهده فیلم

8 اردیبهشت

بررسی انواع مواد موجود و جامدهای کووالانسی
بررسی انواع مواد موجود و جامدهای کووالانسی

`00:57

چرخه ی کربس
چرخه ی کربس

`00:41

تست دایره
تست دایره

`00:46

1 تمرین

پایه2: مسائل مشخصه های موج و نمودار امواج مکانیکی (عرضی)
پایه2: مسائل مشخصه های موج و نمودار امواج مکانیکی (عرضی)

`00:51

پایه1: امواج مکانیکی و مشخصه های موج (عرضی)
پایه1: امواج مکانیکی و مشخصه های موج (عرضی)

`00:53

50 ساعت تدریس کاملا رایگان زیست برای دریافت ویدیو ها شماره ت رو وارد کن
سوالات دیگران

چرا وقتی دلتا را بدست آوردیم صد منهای 40 a شد؟

نرگس مهدوی | آکادمی امروز

نرگس مهدوی

tik

9 ماه پیش

b2-4ac b2 میشه ۱۰۰ -4ac هم میشه ۴*۱۰*-a

(1)

ماریا . | آکادمی امروز

ماریا .

1 سال پیش

سلام موقع حساب کردن دلتا، مگر c صفر نیست؟ چجوری 4ac شد 40؟

زینب مقدم | آکادمی امروز

زینب مقدم

tik

1 سال پیش

د

ماریا . | آکادمی امروز

ماریا .

1 سال پیش

@زینب مقدم آها پس ضریب y2 که 10 هست a خود ضابطه هست C هم a میشه که مجهوله متوجه شدم خیلی ممنون

زینب مقدم | آکادمی امروز

زینب مقدم

tik

1 سال پیش

@ماریا . بله دقیقا خواهش می‌کنم 😚

(1)

سلام ویس ❗

سلام بطور کلی این دو روش رو داریم از هر کدوم برید درسته و فرقی نمیکنه

ببخشید چرا با این روش به جواب نمیرسم ممکنه راهنماییم کنید 🤌🏻❤️

(1)

نرگس رحیمی | آکادمی امروز

نرگس رحیمی

tik

2 سال پیش

سلام وقتتون بخیر

راضیه جبلی | آکادمی امروز

راضیه جبلی

2 سال پیش

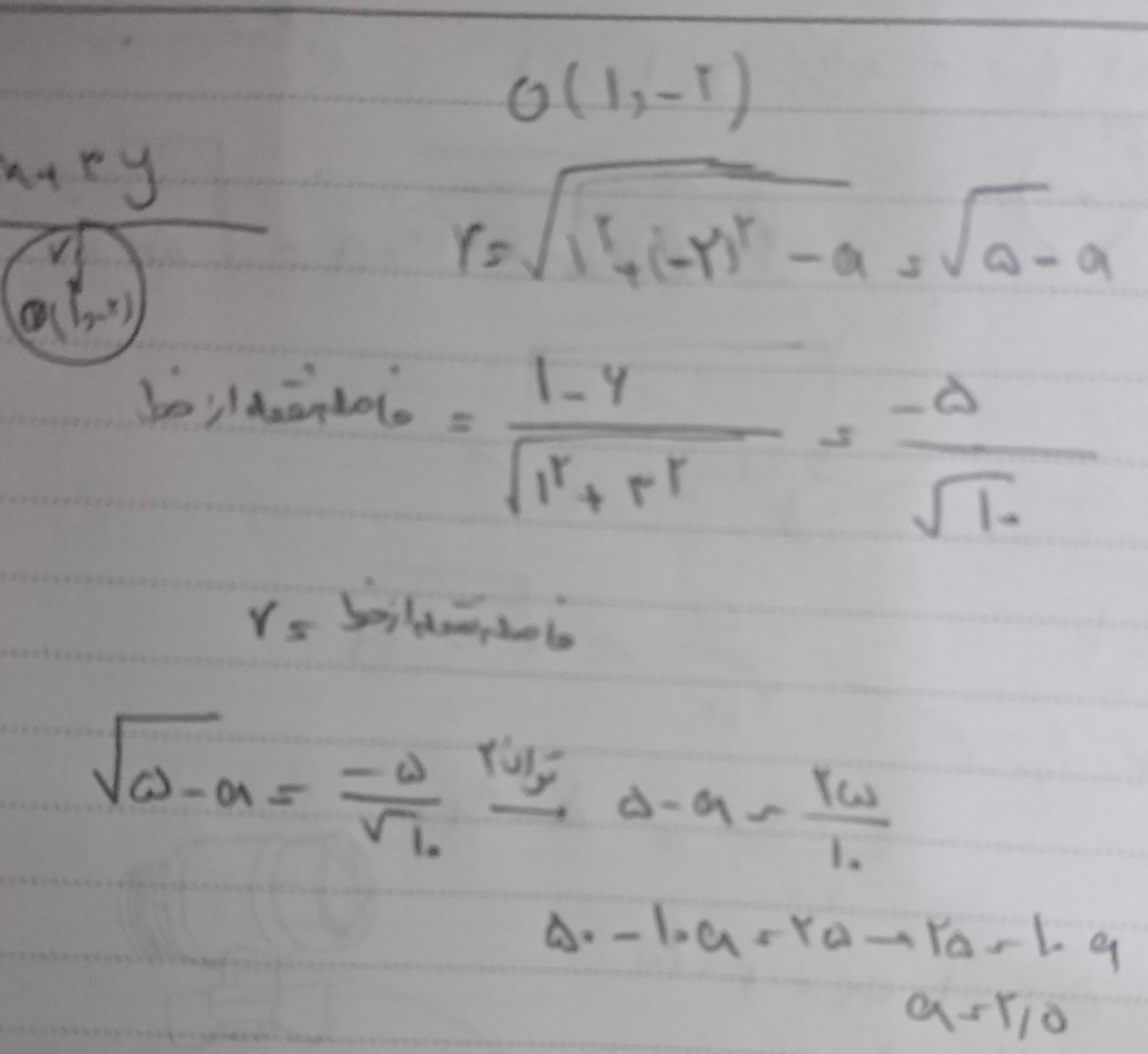
سلام رفیق بخاطر اینکه بعد به دست اوردن فاصله حالا باید اون رو مساوی شعاع قرار بدی

راضیه جبلی | آکادمی امروز

راضیه جبلی

2 سال پیش

جواب به صورت صوتی می باشد:)

(1)

راضیه جبلی | آکادمی امروز

راضیه جبلی

2 سال پیش

عکسشوبرات فرستادم رفیق

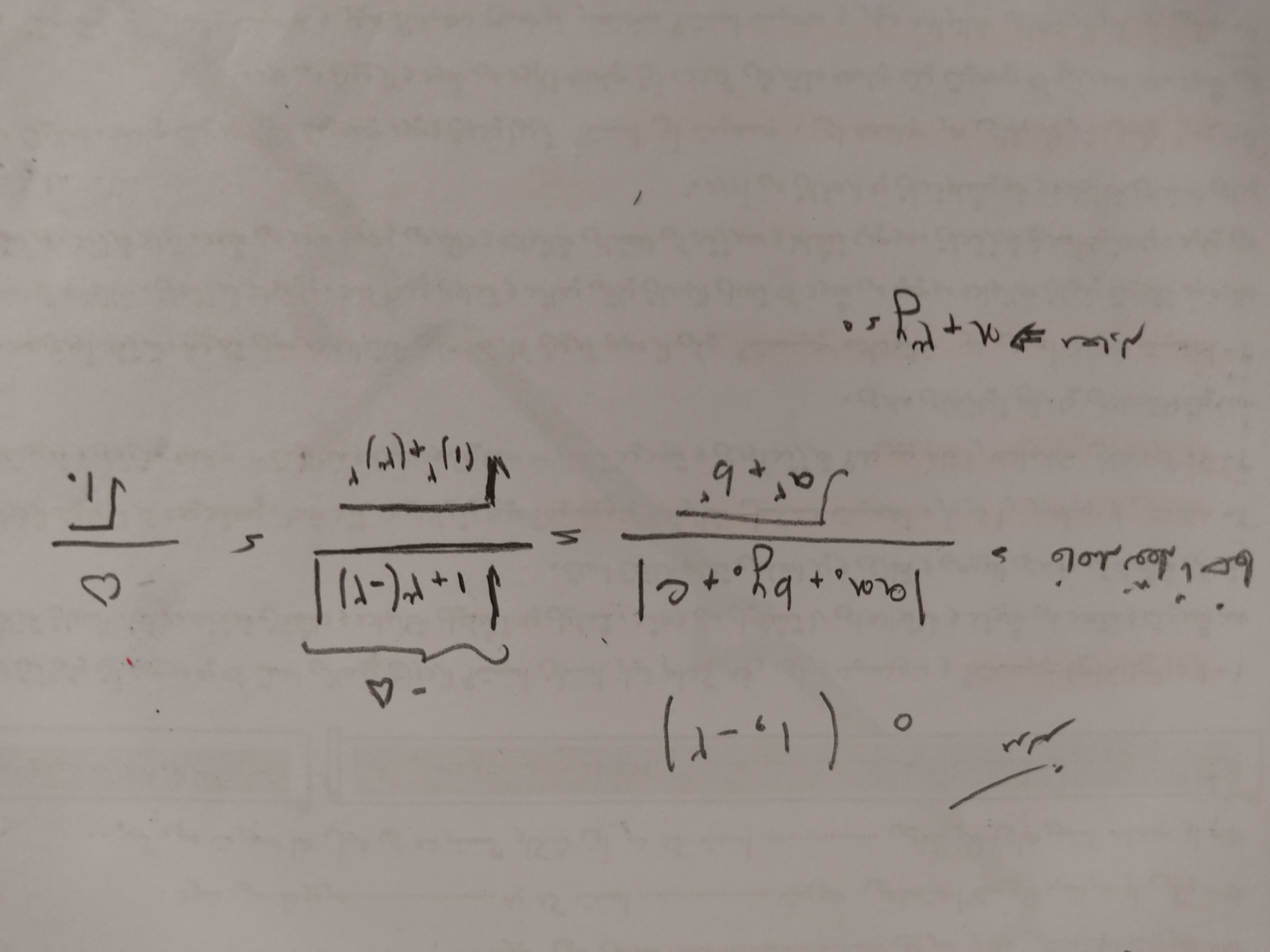
@راضیه جبلی دوست عزیز این یک منهای 6 از کجا نوشتی میشه بهم توضیح بدی؟ممنونم