تست 3

برای مشاهده، ابتدا وارد شوید.
ورود و مشاهده فیلم

6 مرداد

نوشتن معادله جدید
نوشتن معادله جدید

`00:44

1 تمرین

تعداد و علامت ریشه ها
تعداد و علامت ریشه ها

`00:56

1 تمرین

تست فصل سوم
تست فصل سوم

`01:16

50 ساعت تدریس کاملا رایگان زیست برای دریافت ویدیو ها شماره ت رو وارد کن
سوالات دیگران

اینجا استاد چطوری از ضرب الفا در بتا مساوی منفی دو نوشت قرینه ی الفا میشه منفی یک دوم؟؟

اگر ویس ناواضح بود بگید دوباره ضبط کنم 🌷 ریپلای نباشه 🌷

BAHAR  :) | آکادمی امروز

BAHAR :)

1 سال پیش

درود وقتتون بخیر میشه روش دوم رو توضیح بدین با عکس 🙏🏻

یه سوال چرا تو فرمول x به توان 2-sx به علاوهه p نمیزاریم؟ s و p به دست اومده رو

فاطمه اخوت | آکادمی امروز

فاطمه اخوت

3 سال پیش

سلام یه روشی استاد گفتن برا معکوس کردم عبارت ک جای cو aرو باید عوض کنیم خوب من معادله معکوس عبارت رو طبق این روش نوشتم حالا باید sو pاین معادله معکوس شده رو بنویسم و یک واحد بهش اضافه کنم ی اینکه sو pمعادله قبل رو بنویسم و یک واحد بهش اضافه کنم؟

سلام و درود روش استاد برای وقتی بود که ما در مورد ضرب یا مجموع ریشه ها بحث میکنیم در این روش شما نمیتونی این دو ریشه رو تفکیک کنی یعنی باید در معادله جدید که بدست آوردی مجموع ریشه هاش رو بذاری مجموع ریشه های قبلی به علاوه ۲ ضرب ریشه هاش هم دیگه خیلی پیچیده میشه پس بهتره ازین روش اینجا استفاده نکنیم

(1)

سلام لطفا اون قسمتی که تو روش حل اول استاد ضرب معادله جدید رو ۱/۴- به دست آوردن توضیح میدید🙏🏻

پاسخ بصورت ویس قرار گرفت.

@سجاد اسماعیلی خیلی ممنونم🌸

(1)

سلام در روش 2 ک استاد x رو کسری نوشتن..چرا جای a و c رو عوض نکردن ک مستقیم معکوس بشه..؟ یعنی معادله ای ک داده رو اول جای a و c شو عوض کنیم بعد بجای x ، xجدید رو بزاریم یعنی(1-x)... اونجور ک نوشتن باز باید یک ساعت کسری شو حل کنیم (:

سلام و درود نمیشه چنین کاری کرد چون در این صورت انگار شما آلفا به علاوه ۱ رو معکوس کردی نه آلفا رو اون ترتیب به هم میخوره ضمن اینکه جمع ریشه ها هم همخونی نخواهد داشت

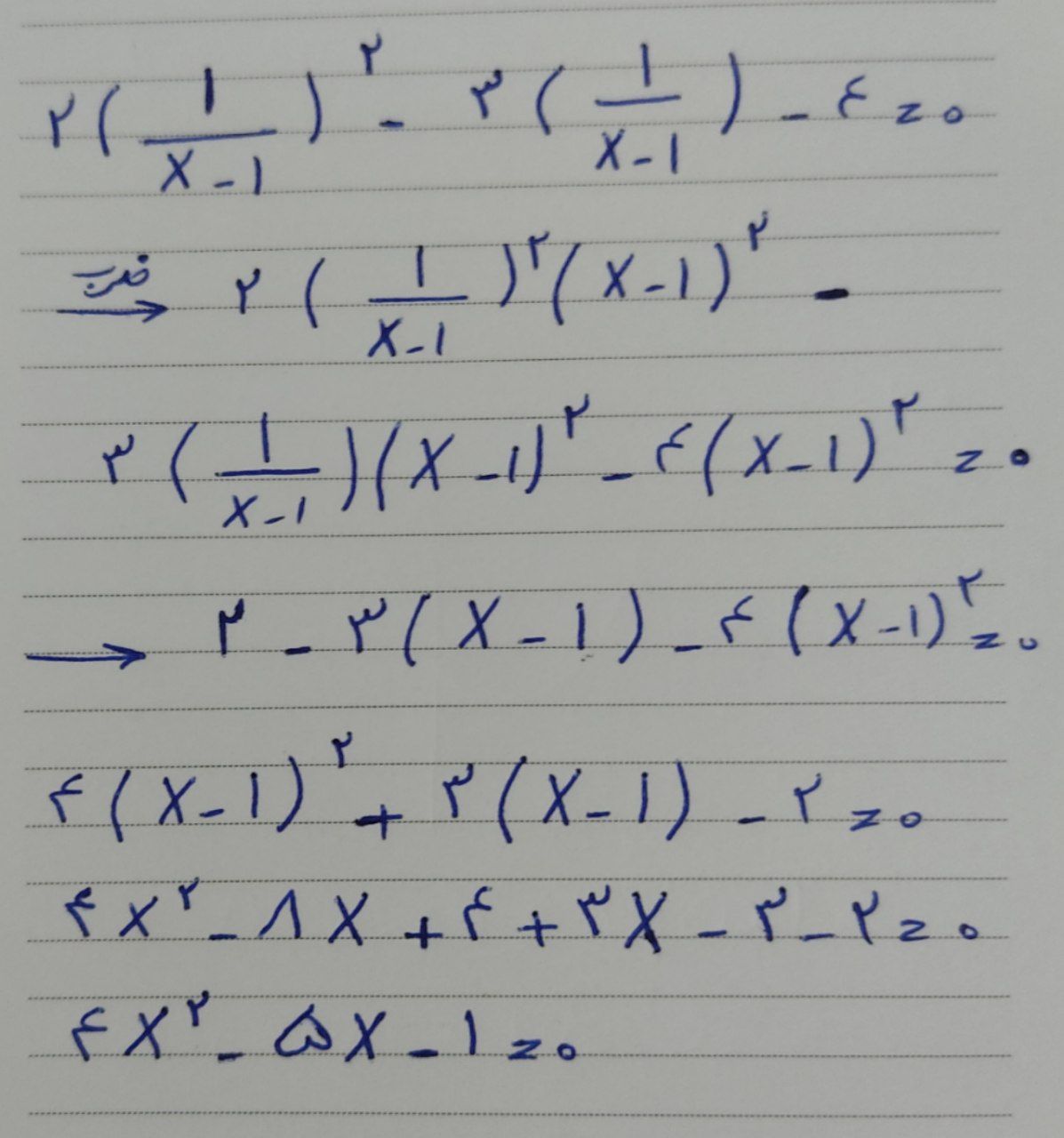
سلام لطفا اون قسمتی که استاد در روش دوم طرفین را در xمنهای 1 به توان 2 ضرب میکنه برام حل میکنید

(1)

سلام و درود پاسخ بصورت عکس قرار گرفت.

Hhh Bb | آکادمی امروز

Hhh Bb

2 سال پیش

@سجاد اسماعیلی سلام در اینجا من که در منفی ضرب نمیکنم جایی که فلش زدین جوابن +۸xمیشه چرا