یادبگیریم2:روابط بین ریشه‌های معادله درجه دو

4.9/5
(49 رای)
برای مشاهده، ابتدا وارد شوید.
ورود و مشاهده فیلم

مرحله20

 فشار بر حسب سانتی متر جیوه
فشار بر حسب سانتی متر جیوه

`01:35

تست فصل سوم
تست فصل سوم

`01:16

روابط بین ریشه‌های معادله درجه دو
روابط بین ریشه‌های معادله درجه دو

`01:09

1 تمرین

50 ساعت تدریس کاملا رایگان زیست برای دریافت ویدیو ها شماره ت رو وارد کن
سوالات دیگران

سلام خسته نباشی این سوالو میشه توضیح بدید

این سوال آخرش و به توان دو رسوندیم دو وسطی ازکجا اومده

زینب مقدم | آکادمی امروز

زینب مقدم

tik

1 هفته پیش

جواب به صورت صوتی می باشد:)

سلام میشه توضیح بدید چرا استاد تو حل سوال(sهست ـbبه روی aمنفی رو درنظر نمیگیره؟)

جواب چطور شد منفی 17 به روی 8

سلام میشه روش حل وی یاد گرفتی دو یعنی سوال دو را توضیح. بدید

آقای رشادی ، پاسخنامه اش کجاست ؟ توی جزوه که نیست !

اگر ویس ناواضح بود بگید دوباره ضبط کنم 🌷 ریپلای نباشه 🌷

سلام ؛ میشه لطفاً جواب سوالات توی چی یاد گرفتی را بگین ؟

اگر ویس ناواضح بود بگید دوباره ضبط کنم 🌷 ریپلای نباشه 🌷

F .M | آکادمی امروز

F .M

1 ماه پیش

این سوال با مجموع مربعات در نمیاد چرا؟!

اگر ویس ناواضح بود بگید دوباره ضبط کنم 🌷 ریپلای نباشه 🌷

(1)

F .M | آکادمی امروز

F .M

1 ماه پیش

نمیشه از یک به روی B,a فاکتور گرفت به نظرم میشه ولی در نمیاد ممنون میشم اینو توضیح بدید

اگر ویس ناواضح بود بگید دوباره ضبط کنم 🌷 ریپلای نباشه 🌷

(1)

F .M | آکادمی امروز

F .M

1 ماه پیش

@سید محمد متین رشادی بله ممنون اصلا دقت نکردم😐

خیلی سپاسگزارم از زحمات و لطف شما آقای رشادی‌🙏

سلامت باشید 🌷

این سوالو حل میکنید و توضیحش بدین

اگر ویس ناواضح بود بگید دوباره ضبط کنم 🌷 ریپلای نباشه 🌷

(1)

میشه نحوه محاسبشون رو توضیح بدین؟

اگر ویس ناواضح بود بگید دوباره ضبط کنم 🌷 ریپلای نباشه 🌷

(1)

اینجا یعنی جمع ریشه با s هست و ضربشون با p درست متوجه شدمم؟

نرگس مهدوی | آکادمی امروز

نرگس مهدوی

tik

3 ماه پیش

بله

(1)

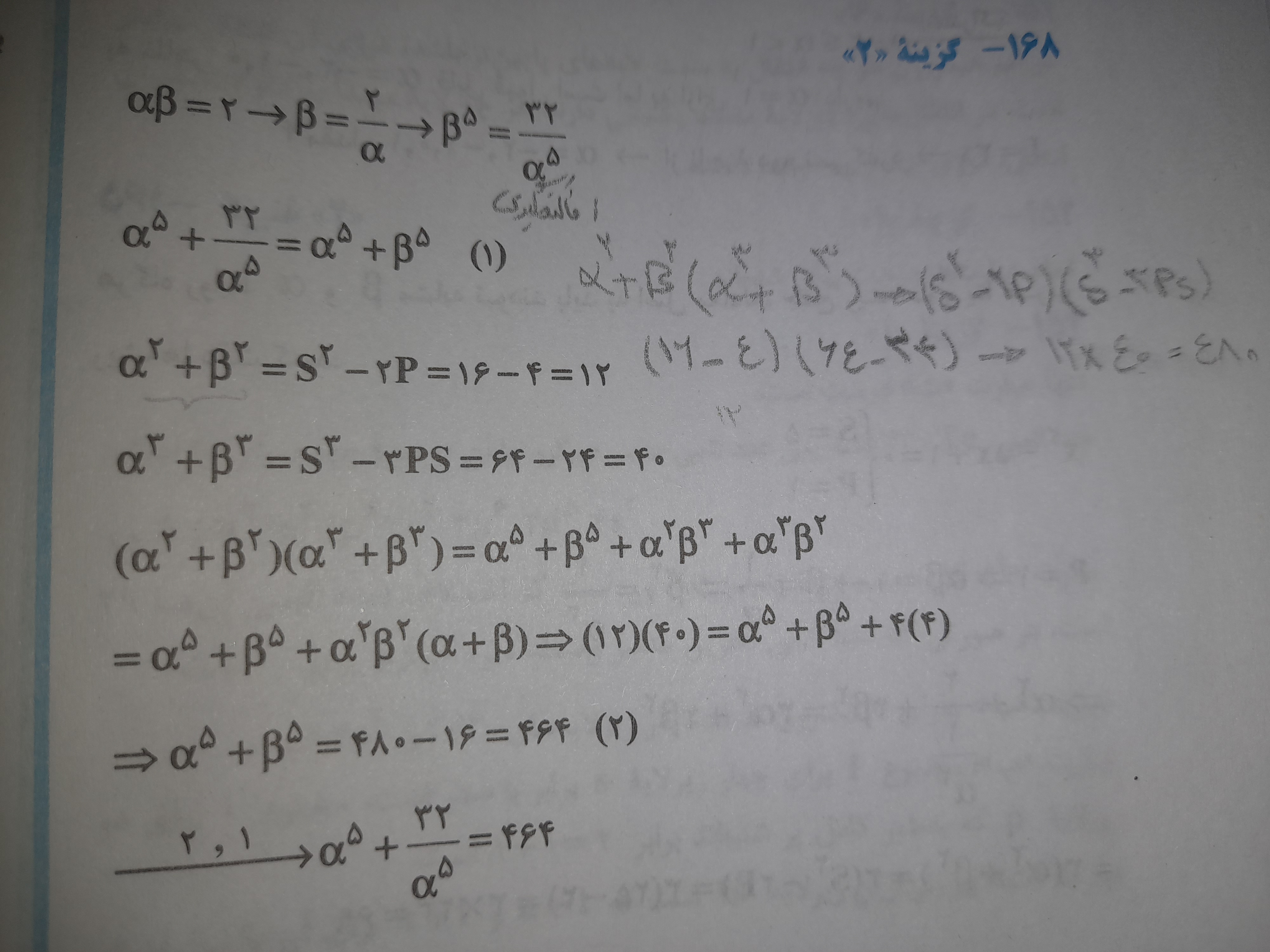
سلام سوال 168 رومیشه برام توضیح بدید؟ پاسخ نامه رو هرچقدر خوندم اون قسمت اخر که 480رو منهای 16میکنه متوجه نمیشم

اینم سوالش👇🏻

mahdi... b | آکادمی امروز

mahdi... b

4 ماه پیش

سلام ببخشید میشه این سوالو توضیح بدید برام.

اگر ویس ناواضح بود بگید دوباره ضبط کنم 🌷 ریپلای نباشه 🌷