تست 2

5/5
(33 رای)
برای مشاهده، ابتدا وارد شوید.
ورود و مشاهده فیلم

مرحله ۲۹

تست کار نیروی ثابت
تست کار نیروی ثابت

`00:33

1 تمرین

گردش خون در کلیه ها
گردش خون در کلیه ها

`01:30

1 تمرین

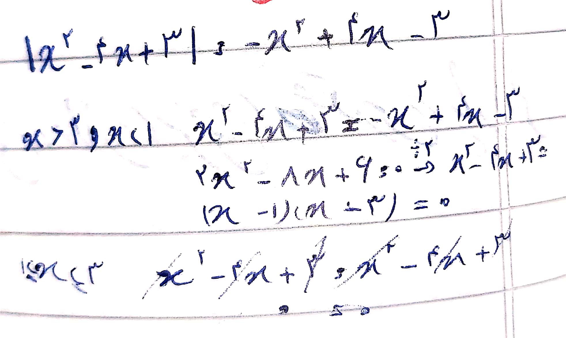
حل معادلات قدرمطلقی
حل معادلات قدرمطلقی

`00:34

50 ساعت تدریس کاملا رایگان زیست برای دریافت ویدیو ها شماره ت رو وارد کن
سوالات دیگران
maryam chaghaei | آکادمی امروز

maryam chaghaei

1 سال پیش

سلام من متوجه نمیشم چرا استاد صفر شدنش هم در نظر گرفتن ؟؟ اگه عبارت صفر بشه که لازم نیس قرینه اش بیاد بیرون که ممنون میشم توضیح بدین

زینب مقدم | آکادمی امروز

زینب مقدم

tik

1 سال پیش

سلام دقیقه چند ؟

maryam chaghaei | آکادمی امروز

maryam chaghaei

1 سال پیش

@زینب مقدم ثانیه 47

نمیشه از رسم نمودار بریم اخه جواب اشتباه در میاد

میشه راه حلت رو بفرست ببینم

. . | آکادمی امروز

. .

1 سال پیش

میشه از روش (اولی مساویه مثبت منفی دومی)حل کنید من به اون روش حل می کنم بی شمار میشه

جواب به صورت صوتی می باشد:)

. . | آکادمی امروز

. .

1 سال پیش

@سید محمد متین رشادی نه اونقدرا هم داستانش متفاوت نیست. ببینید عکسو...

میشه با نمودار هم توضیح بدینش من نمودارشو کشیدم بی شمار درومد...

(1)

منم کشیدم بی شمار دراومد ! اون قسمتی که میکشی میاری بالا با اونیکی نمودار رو هم میفتن و بی شمار نقطه تطابق بوجود میاد /:

(1)

. . | آکادمی امروز

. .

1 سال پیش

سلام

. . | آکادمی امروز

. .

1 سال پیش

@هانیه بختیاری سلام جواب منو ببین

زهرا عتبی | آکادمی امروز

زهرا عتبی

2 سال پیش

؟؟

نرگس رحیمی | آکادمی امروز

نرگس رحیمی

tik

2 سال پیش

جواب به صورت صوتی می باشد:)

(1)

@نرگس رحیمی ببخشید من متوجه نشدم . میشه بیشتر توضیح بدین ؟ الان چرا گزینه یک غلطه ؟

(1)

سلام میشه این تست را به صورت برداشتن قدر مطلق و مثبت و منفی قرار دادن عبارت آن طرف مساوی حل کنید برایم؟

(1)

سلام. عبارت 3-x2+4x- وقتی نتیجه قدر مطلقه یعنی حتما مثبته. کِی میتونیم عبارت داخل قدر مطلق رو باهاش مساوی قرار بدیم؟ وقتی که بدونیم عبارت داخل قدر مطلق هم مثبته. با توجه به ریشه‌ها بلزه رو تعیین میکنیم. جواب آخر ۳ و ۱ هست که تو بازه تعیین شده نیست، پس قابل قبول نیست. وقتی که بدونیم عبارت داخل قدر مطلق منفیه، میتونیم با قرینه عبارت اون طرف مساوی که اینم منفی میشه، مساوی قرار بدیم. براش بازه تعیین میکنیم. تو حل معادله، به نتیجه ۰=۰ میرسیم که همواره درسته. پس کل بازه تعیین شده درسته.