تست3

4.9/5
(28 رای)
برای مشاهده، ابتدا وارد شوید.
ورود و مشاهده فیلم

مرحله ۳۵

ppm
ppm

`00:46

1 تمرین

دما و دماسنجی
دما و دماسنجی

`00:59

1 تمرین

تابع لگاریتمی
تابع لگاریتمی

`01:31

2 تمرین

50 ساعت تدریس کاملا رایگان زیست برای دریافت ویدیو ها شماره ت رو وارد کن
سوالات دیگران

یه سوال مگه توی گزینه های دو و چهار ننوشته از منفی چهار تا نه یا توی گزینه بعدی از منفی چهار تا چهار پس چرا استاد میان توی این دو گزینه منفی چهار نیست

خب اون سرش که منفی چهاره،باز هست یعنی اعداد بزرگتر از منفی چهار در بازه هست ولی خود منفی چهار نیست

(1)

..  . | آکادمی امروز

.. .

1 سال پیش

سلام ببخشید میشه روش اول یعنی تشریحیشو توضیح بدید؟ ممنون میشم عکس هم باشه ازش

من اینطوری حل کردم

(2)

..  . | آکادمی امروز

.. .

1 سال پیش

@محمد عنایتی ممنون

(1)

صفر بزاریم گزینه ی یک حذف میشهههه

چرا حذف میشه؟

جواب به صورت صوتی می باشد:)

من با تغییر متغیر رفتم :

(2)

الهه مرشدی | آکادمی امروز

الهه مرشدی

1 سال پیش

سلام کسی پاسخ تشریحی این سوال رو بلده؟

رعنا نجات | آکادمی امروز

رعنا نجات

3 سال پیش

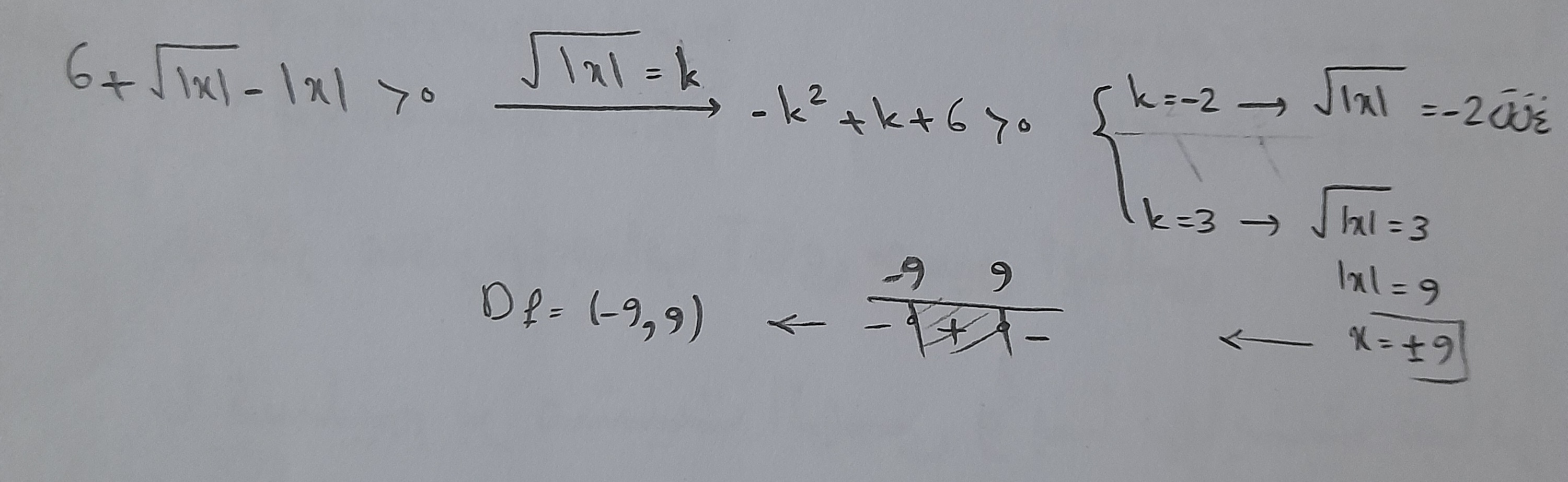
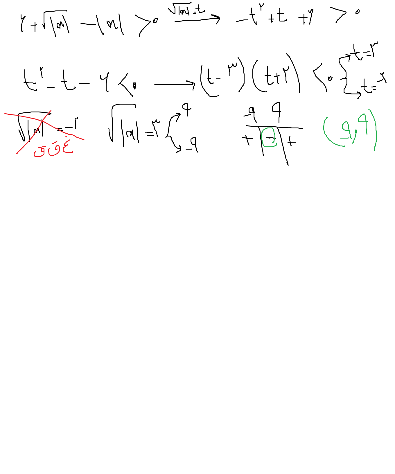
سلام روز بخیر من نمیتونم بدون امتحان گزینه ها ب جواب برسم ممنون میشم توضیح بدید چجوریه

پاسخ ضمیمه شد

(2)

@سجاد اسماعیلی ببخشید چرا باید در یه منفی ضرب کنیم؟

@زینب همت زاده سلام و درود خب اگر اینکارو نکنیم یک مقدار تجزیه کردن سخت تر میشه برامون بدون اون هم میشه تجزیه کرد صرفا برای راحت تر تجزیه کردن شکل بهتری بگیره رابطه ما

(1)

@سجاد اسماعیلی سلام مگه کل عبارت و به توان ۲ نمیرسونیم که قدر مطلق و برداریم؟ اینجا چرا ۶ به توان ۲ نرسید؟ چرا اون قدر مطلق x رفت زیر رادیکال؟

@سجاد اسماعیلی ببخشید اینجا چرا قدرمطلق x زیر رادیکال رفت همچنین چرا فقط رادیکالx به توان 2 رسیده

@سجاد اسماعیلی سلام و عرض ادب. خسته نباشید. جناب اسماعیلی. یک سوال کلی داشتم. در این قسمتی که شما حل کردید. و مخرج کسر را بزرگتر از صفر در نظر گرفتید. فکر کنم شما. خواستید. یک معادله درجه دو بسازید. عبارت را در یک رادیکال قدر مطلق X ضرب کردید. خب تا اینجا این رو متوجه شدم. حال سوال من این هستش که اگر بخواهید این کار را انجام دهید باید این رادیکال قدر مطلق X در کل عبارت ضرب بشه. پس چرا 6 هنوز. در معادله سالم مونده؟؟؟؟؟ اینطور که نمیشه؟؟؟؟؟؟ ممنون میمش توضیح دهید.

@محمدحسین سیفعلی زاده سلام و درود بد متوجه شدی ما اصلا به توان دو نرسوندیم همین عبارتی که داشتیم رو تجزیه کردیم

@اسما احدی پور سلام و درود چون در عبارت اصلی ما قدرمطلق ایکس رو داشتیم اون رو تبدیل کردیم به رادیکال قدر مطلق ایکس به توان ۲ که باهاش مساویه اینجوری دیگه لازم برای تجزیه کردن کل عبارت رو به توان ۲ برسونیم و رادیکال رو از بین ببریم همین عبارت رو میتونیم تجزیه کنیم

@بهزاد ظهوریان هادی سلام بهزاد جان وقت بخیر نه ما چنین کاری نکردیم توضیح بنده به خانم احدی پور رو چک کن

@سجاد اسماعیلی نفهمیدم ولی باشه (:

(1)

@هانیه بختیاری کجا رو نفهمیدید دقیقا؟ بگید بهم که من براتون توضیح بدم

سلام خسته نباشید اگه مثلا تو صورت سوال گفته بود شامل چند عدد صحیح ما باید معادلشو حل میکردیم میشه بگید چجوری حل میشه؟

سلام و درود اونوقت شما باید عبارت جلوی لگاریتم رو بزرگتر از صفر قرار میدادید و به توان ۲ می رسوندید تا رادیکال از بین بره انقد به توان ۲ میرسونیم تا قابل حل کردن بشه

(1)

حدیث پناهی | آکادمی امروز

حدیث پناهی

3 سال پیش

@سجاد اسماعیلی سلام وقت بخیر اگه ممکنه لطف کنید سوال رو با این روش حل کنید وعکسش رو اپلود کنید...

@حدیث پناهی پاسخ بنده به خانم نجات رو چک بفرمایید