تست 3

5/5
(10 رای)
برای مشاهده، ابتدا وارد شوید.
ورود و مشاهده فیلم
50 ساعت تدریس کاملا رایگان زیست برای دریافت ویدیو ها شماره ت رو وارد کن
سوالات دیگران

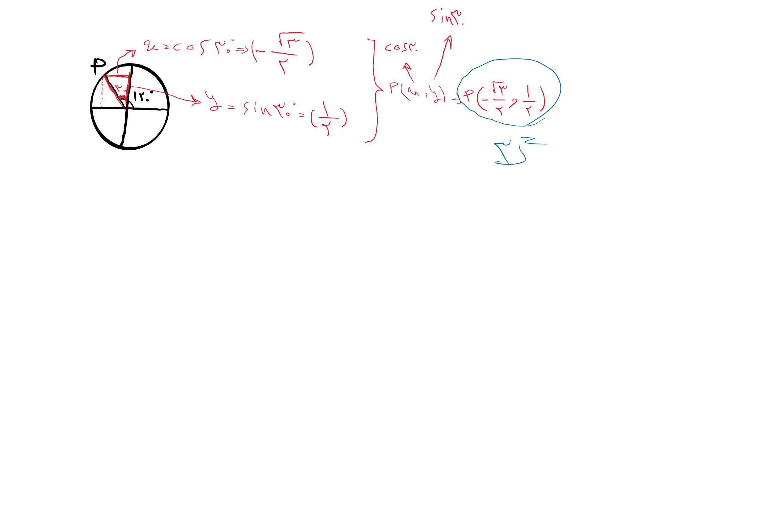
خب تو همین تست قبلی که استاد گفتن اینکارو نکنیم گفتن حتما باید در جهت دایره باشه!!!!!!!

نرگس مهدوی | آکادمی امروز

نرگس مهدوی

tik

8 ماه پیش

سلام اینجا میتونی زاویه ای که باقی مونده رو بدست بیاری، بعد نشبت های مثلثاتی اون رو بدست بیاری و علامتش رو طبق ناحیه مختصاتی مشخص کنی

@نرگس مهدوی سلام راهشو پیدا کردم ممنون

ازکجا فهمیدیم زاویه مون60؟

جواب به صورت صوتی می باشد:)

چه موقه همون زاویه ( مثل تست ۴ که ۳۰ درجه بود و در ۳۰ درجه رو درنظر گرفتید ) و چه موقع مثل تست ۳ زاوایه ای که مونده رو در نظر بگیریم؟

https://emrooz.ir/cbgstbc-2104?comment_id=653741#comment-653741

چرا 30 نه 60 ؟؟؟؟؟؟؟ در جهت دایره مثلثاتی بریم ربع اول رو رد میکنیم به ربع دوم میرسیم . در واقع 30 تا وارد ربع دوم شدیم . نه شست تا

ایشالا مفید باشه 🌷

@سید محمد متین رشادی آقای رشادی عزیز ممنون از پاسخگویی تون . اما چطور فرق نمیکنه 30 بگیریم گزینه 3 درست میشه که من زدم 60 بگیریم جواب گزینه 1 میشه که استاد زدن !!!!!!! یه راه درست میخوام که کلید بشه واسه همه موارد

(1)

آنا ملکی | آکادمی امروز

آنا ملکی

8 ماه پیش

@شفیقه جعفریان خانم جعفریان عزیز منم همین سوال برام پیش اومد ولی با رسم نمودار برای خودم موضوع رو حل کردم فقط کافیه 120 درجه رو همون طور که الان 90+30میبینید ببینید و نمودار sin(90 +x) رو رسم کنید نمودار جدید نمودار مطابق نمودار cos x میشه .برای cos هم همین طور بهتره با رسم نمودار جلو برین همه چیز براتون روشن میشه. ولی باز من به فرمول هاش رو براتون مینویسم.ولی بهتره خودتون رسم نمودار کنید و بهش برسید تا بهتر در ذهنتون بمونه sin(90+x)=cos x cos (90+x)=-sin x tan(90+x)=-cot x cot(90+x)=-tan x

خب چرا از 30 استفاده نکردیم بعد گفتید جای سینوس کسینوس تگ از 30 استفاده کنیم عوض میشه چرا؟ چه فرقی میکنه؟ چه تفاوتی داره با یه زاویه های دیگه؟

https://emrooz.ir/cbgstbc-2104?comment_id=653741#comment-653741

با این استدلال پس سوال قبل میشه cos 60 و _sin90 که میشه گزینه دو درسته؟

سلام عزیزم ممنون میشم زیر همون سوالی که در موردش مشکل داری کامنت بذاری 🌷💙

(1)

مگه زاویه ۳۳۰ با زاویه ۳۰ درجه همخانواده نبود ؟ پس کسینوسش میشه ۳√ روی دو و سینوسش میشه منفی یک دوم

جواب به صورت صوتی می باشد:)

فاطمه زارع | آکادمی امروز

فاطمه زارع

1 سال پیش

چرا زاویه ۳۰ درجه را نگرفتیم ؟

جواب به صورت صوتی می باشد:)

استدلال پاسخ به تست 2 و 3 با هم فرق داره عاخه ؟؟؟؟؟؟؟؟ در پاسخ به این تست استدلال مبنی بر این هست که دقیقا کلمه های استاد رو خارج نویسی میکنم (( زاویه تون که تموم شد هر جایی که وای می ایستید ، تهش هر چقدر می مونه ، اون زاویه را شما حساب کن . اون زاویه رو در نظر بگیر )) یعنی زاویه 60 رو در حالیکه در تست قبلی یعنی تست 2 برعکس عمل کردن . اگر با استدلال این تست حل بکنیم باید 30 رو محاسبه میکردیم نه 60 رو !!!!!!!!!!!

(1)

..  . | آکادمی امروز

.. .

1 سال پیش

سلام من اصلاا متوجه نمیشم چرا زاویه ۶۰ درجه رو گرفتن توتست قبلی ۳۰ رونگرفتن طبق این حرفشون چرا؟ تو کامنتا خانم رحیمی گفتن با قسمت راست محور ایکس ک خب پس طبق حرف ایشون ک میشه ۳۰ من گیچچ شدمم میشه توضیح بدید ک هم برا تست ۲ صدق کنه هم این تست هم برا اینجور تستا ممنون میشم اصن ازکجا بفهمیم کدوم رو بگیریم و سینویس و کسینوسشو حساب کنیم؟

(2)

جواب به صورت صوتی می باشد:)

..  . | آکادمی امروز

.. .

1 سال پیش

@سید محمد متین رشادی ببخشید من از ۴۰ ثانیه ب بعد رو متوجه نمیشم خب اگر اومدیم مثلا وقتی ی مثلث قایم الزاویه رو کشیدیم مثلا اینجا ب جا زاویه ۶۰از زاویه ۳۰ رفتیم خب گفتیم مختصات نقطه ایکس و وای داره ایکس میشه کسینوس تتا و وای میشه سینوس تتا خب اینجا اگ از زاویه ۳۰ بریم میشه منفی کسینوس ۳۰ ک میشه منفی رادیکال ۳ دوم و جواب برعکس میشه! میشه در این مورد توضیح بدید؟

..  . | آکادمی امروز

.. .

1 سال پیش

@سید محمد متین رشادی اما اگ ی جور دیگ در نظر بگیریم جواب درست میشه! اون قسمت هایی ک با رنگ بنفش اضافه کردم! درسته؟ اگ درسته پس چرا استاد میگن ایکس همیشه کسینوس و وای سینوس؟

سلام چرا زاویه ی 30 درجه نگرفتیم؟

زینب مقدم | آکادمی امروز

زینب مقدم

tik

1 سال پیش

جواب به صورت صوتی می باشد:)

سلامم من توی این سوال گیج شدممم, مگه نباید کسینوس و سینوس 30 درجه رو حساب کنیم؟؟ تو تست 2 هم پادساعتگرد رفتیمم ولی زاویه 60 درجه رو گرفتیم, واقعا نمیهمم چرا اینجا 30 زاویه رو نگرفتن

(2)

میشه بجای زاویه 60 درجه ،زاویه 30 درجه(نزدیک به محور y) را حساب کرد؟

کوثر چرمه | آکادمی امروز

کوثر چرمه

1 سال پیش

این کار رو میشه کرد اما باید بنویسید 90 رو با 30 جمع کنید و زاویه 90 و 270 باعث تغییر نسبت مثلثاتی میشه

سلام ببخشید من متوجه نشدم تشخیص زاویه هارو توی سوال 2 استاد وقتی پادساعتگرد حرکت کردن زاویه ی 60 درجه که از ناحیه ی 4 طی کرده رو انتخاب کردن ولی توی این سوال بازم پادساعتگرد حرکت کردن و گفتن که باید زاویه که میمونه انتخاب بشه برای محاسبه الان برای من مبهمه که زاویه ای که میمونه رو انتخاب کنم یا زاویه ای که از یک ناحیه طی کرده

مبین قاسمی | آکادمی امروز

مبین قاسمی

2 سال پیش

سلام چرا من 30 درجه رو حساب میکنم جواب میشع گزینه 3؟

(1)

سلام حتما یک چیزی رو اشتباه انجام دادی عکس راه حلت رو بذار تا راهنماییت کنم

مبین قاسمی | آکادمی امروز

مبین قاسمی

2 سال پیش

@سجاد اسماعیلی جواب به صورت صوتی می باشد:)

@مبین قاسمی سینوس و کسینوس رو جا به جا در نظر گرفتی توی کامنت دیگه ات با ویس توضیح دادم