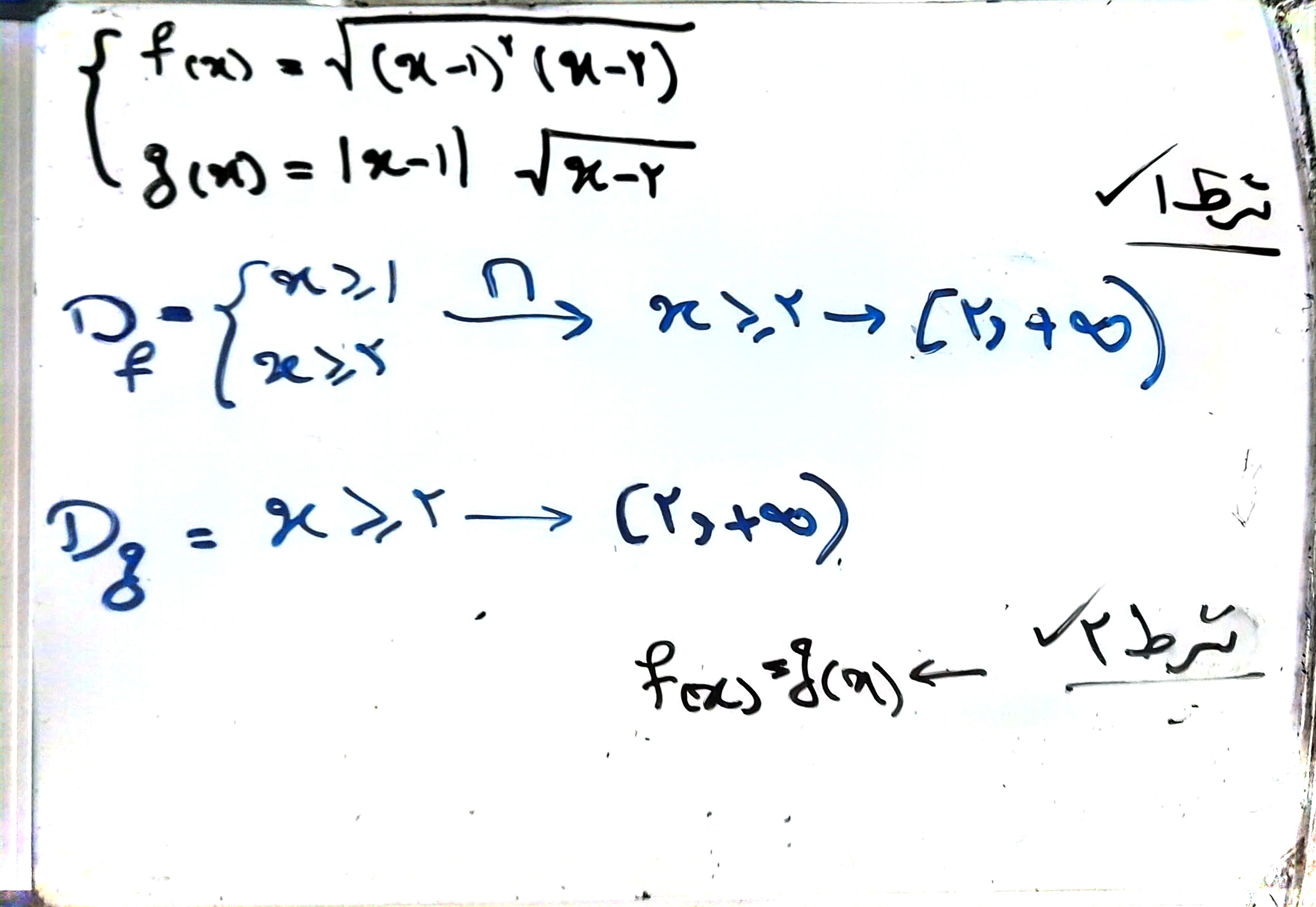
دامنه توابع رادیکالی و تساوی دو تابع

4.8/5
(401 رای)

دامنه، بُرد و تساوی دو تابع

 دامنه توابع کسری و رادیکالی
دامنه توابع کسری و رادیکالی

`01:02

1 تمرین

 دامنه توابع رادیکالی و تساوی دو تابع
دامنه توابع رادیکالی و تساوی دو تابع

`01:12

2 تمرین

 یافتن بُرد توابع
یافتن بُرد توابع

`00:49

 تست های یافتن بُرد توابع
تست های یافتن بُرد توابع

`00:54

1 تمرین

50 ساعت تدریس کاملا رایگان زیست برای دریافت ویدیو ها شماره ت رو وارد کن
سوالات دیگران

خداقوت (: بیزحمت میشه این چند تا رو توضیح بدین !؟ ممنون✨🙏

پاسخ بصورت ویس قرار گرفت.

نرگس خالقی | آکادمی امروز

نرگس خالقی

1 سال پیش

@سجاد اسماعیلی اگه مشخص کردن اینکه دو ضابطه شبیه هم هست سخته، میشه عدد گذاری کنیم دیگه مثلا واسه مثال پنج !

نرگس مهدوی | آکادمی امروز

نرگس مهدوی

tik

1 سال پیش

@نرگس خالقی میشه اما خیلی ریسکیه ممکنه یه عددی بزارین درست در بیاد اما استثنا داشته باشه و شما اون عدد استثنا رو متوجه نشین

نرگس خالقی | آکادمی امروز

نرگس خالقی

1 سال پیش

@نرگس مهدوی واقعاً؟ خب الان مثال پنج رو میشه واسم توضیح بدین که چجوری شبیه هم شدن؟

@نرگس خالقی مثال پنج،عدد استثنا نداشت که در دامنه یکی باشه و در دامنه دیگری نباشه

مثال یک و دو توضیح بدم؟

نرگس خالقی | آکادمی امروز

نرگس خالقی

1 سال پیش

@سید محمد متین رشادی این دو ضابطه چجوری شبیه هم شدن؟

@نرگس خالقی جواب به صورت صوتی می باشد:)

@سجاد اسماعیلی سلام در ۳.۴۸ دقیق توضیحتونxبتوان ۲_۴ یعنی xبتوان ۲روقدر مطلقxگرفتین به توان ۲؟که بعدش اتحاد مزدوج زدین اگه xبتوان ۲ دو ببریم داخل قدر مطلق باز توان ۲ میمونه؟ بر چه اساس اصلا xبتوان ۲ رو بردین داخل قدر مطلق میشه لطفا راهنمایی کنید

@سید محمد متین رشادی سلام ببخشید اینجا xبتوان۲ چجوری شد قدر مطلق xبتوان۲

سلام من اینو از روش s و p رفتم جواب درست دراومد ولی وقتی مخرجو به جای x هاش ۳ گذاشتم مساوی صفر قرار دادم شد گزینه سه نمیدونم چرا

با امتحان گزینه هم میشه اول (a=4) بذاریم و گزینه 2 و 4 رو حذف کنیم بعد (a=5) بذاریم و عبارت درجه دوم با دلتای منفی و ضریب ایکس دو مثبت بدست میاد پس عدد 5 هم قبوله و گزینه 3 رد میشه

فکر نکنم جواب این تست به ذهن کسی بیاد و کسی که این تست رو نوشته احتمالا مغزش سوخته

g(x) این نیس تو جزوه حالا چی میشه ما جزوه رو تغییر بدیم

سوال اخر ویدیو در زمینه چی یادگرفتی میشه گزینه یک ایا درسته اگه اشتباه هست میشه توضیح بدین

غزل کیماسی | آکادمی امروز

غزل کیماسی

4 ماه پیش

سلام میشه بگید چرا این روش درست در نمیاد کجا اشتباه کردم ؟

Tara :) | آکادمی امروز

Tara :)

1 ماه پیش

سلام وقت بخیر فکر کنم برا تجزیه بهتره مثل استاد x² رو هم با قدر مطلق در نظر بگیرید چون تغییری ایجاد نمیکنه ولی کارتون راحت تر میشه

غزل کیماسی | آکادمی امروز

غزل کیماسی

4 ماه پیش

سلا میشه لطفا بگید این روش چرا درست در نمیاد

سلام وقتتون بخیر.. ببخشید من سوال 3 تمرین رو نمیفهمم پاسخنامه منظورش چیه ممنون میشم برام توضیح بدید با تشکر

با عرض سلام و خسته نباشید درجزوه جدید تغییر کرده سوال

این مورد رو به پشتیبانی بگید تا رسیدگی بشه 🌷

ببخشید چرا دتارادیکال توهم ضرب شدن از بین نرفت رادیکال؟(گزینه۴)

اگر ویس ناواضح بود بگید دوباره ضبط کنم ریپلای نکنید 🌷

اگر ویس ناواضح بود بگید دوباره ضبط کنم ریپلای نکنید 🌷

مریم طالبی | آکادمی امروز

مریم طالبی

9 ماه پیش

میشه چی یادگرفتی رو توضیح بدید

اگر ویس ناواضح بود بگید دوباره ضبط کنم ریپلای نکنید 🌷

چرا این قسمت اشتراک گرفتن و نگفتن از منفی ۲ تا ۵

اگر ویس ناواضح بود بگید دوباره ضبط کنم ریپلای نکنید 🌷

جواب چی یاد گرفتی؟ گزینه۲

زینب مقدم | آکادمی امروز

زینب مقدم

tik

9 ماه پیش

بله👍

پس چرا اینارو نوشتیم به چه دردمون خورد تو سوال؟! در پیدا کردن جواب کاربردی نداشت؟

آموزش ویدیویی دامنه توابع رادیکالی و تساوی دو تابع ریاضی دوازدهم توسط بهترین اساتید کنکور به همراه جزوه ، تست ، تمرین و رفع اشکال کنکور | کنکور تجربی - آکادمی امروز