آشنایی با فیزیک اتمی و هسته ای(1) جمع بندی

4.8/5
(101 رای)

فوتون و اثر فوتوالکتریک + انرژی فوتون و رابطه پلانک + طیف خطی + الگوهای اتمی + لیزر

آشنایی با فیزیک اتمی و هسته ای(1) جمع بندی
آشنایی با فیزیک اتمی و هسته ای(1) جمع بندی

`01:01

50 ساعت تدریس کاملا رایگان زیست برای دریافت ویدیو ها شماره ت رو وارد کن
سوالات دیگران

جایی که استاد میگه تمرینایی که گزاشتمو حل کنید همون تستای برگزیدست و اگه اوناست پاسخش کجاست ؟

اگر ویس ناواضح بود بگید دوباره ضبط کنم🌷ریپلای نباشه🌷

میشه لطفا ایت سوال رو توضیح بدید من با روش استاد اصلا متوجه نمیشم با روش تشریحی چجوریه

میشه بگید چرا سه رو ضربدر 10⁶ کردن مگه نانو 10⁹ نیست

اگر ویس ناواضح بود بگید دوباره ضبط کنم 🌷 ریپلای نباشه 🌷

سلام وقت بخیر تشریحی این تست؟

اگر ویس ناواضح بود بگید دوباره ضبط کنم ریپلای نکنید 🌷

چرا این جا استاد میگن اجسام منظور فقط جامد و مايع هس ؟ یعنی گاز های گسیل امواج الکترومغناطیسی ندارن؟؟

سلام اینجا جواب گزینه 2 نمیشد؟

اگه نمیخاییم از e استفاده کنیم پس چرا تو د اده ها به ما داده اند

همینجوری داده بدرد نمیخوره اینجا

سلام اینجا سوال به ما بسامد رو 10 به توان 14 گزارش کرده درسته؟؟

سلام مورد 4 باید مینوشت فاصله 2مدار کمتر میشن!

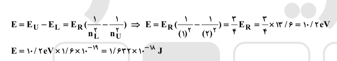
سلام وقتتون بخیر:) به این نکته توجه کنید فاصله ی خود مدار ها، وقتی بالاتر بریم بیشتر میشه ( فاصله بین دو مدار) ولی فاصله دو تراز انرژی با افزایش n کم میشه. چیزی که تو این تصویر میبینید فاصله ی تراز های انرژی هست. فاصله ی خود مدار ها ولی بیشتر میشه

نکته دوم دلیلش چیه؟

جواب به صورت صوتی می باشد:)

سلام این n ها برای هیدروژن هست؟؟

سلام وقتتون بخیر بله

سلام وقتتون بخیر. امکانش هست این سوالو تشریحیشو بزارید؟

سلام عزیزم عکسش رو برات قرار دادم🌻

اسما اقایی | آکادمی امروز

اسما اقایی

2 سال پیش

سلام خسته نباشید من می‌خوام فیزیک و تازه بخونم به نظرتون با دوره ی جت میشه از صفر یاد گرفت یا حتما باید از قبل خونده باشم ممنون میشم جواب بدین♥️

ببین جت توصیحاتش خلاصه طوره ی حالت جمع بندیو اینا داره بنظرم کسی ک درسو خونده یاد گرفته باید بیاد سراغ جت

زهرا زارع | آکادمی امروز

زهرا زارع

2 سال پیش

سلام موزش کلن 20 درصد راهه مابقیش بستگی ب خوانش و تست زنی خودت داره من خودمم دوره جت ریاضی چند مبحثو دیدم اینطور نیست ک مطالب گفته نشه ن خلاصه طور هسش سریع و کامل اتفاقا بهترم هس هرچیزی ک باید فقد بدونی گفته مشه ن اضافه و ن کم

Mahya Baghban | آکادمی امروز

Mahya Baghban

2 سال پیش

استاد پایان ویدیو گفتن تمرین هارو حل کنیم این تمرین ها تو جزوه نیست که میشه بگین کجاست؟

عالی و درجه یک❤️

جمع بندی آشنایی با فیزیک اتمی و هسته ای(1) جمع بندی جمع بندی فیزیک دوازدهم توسط بهترین اساتید کنکور به همراه جزوه ، تست ، تمرین و رفع اشکال کنکور | کنکور تجربی - آکادمی امروز