تست ۶

4.9/5
(37 رای)
برای مشاهده، ابتدا وارد شوید.
ورود و مشاهده فیلم

معادله درجه۲ و سهمی + نامعادله و تعیین علامت جمع بندی

سهمی،معادله درجه دوم،نامعادله،تعیین علامت جمع بندی
سهمی،معادله درجه دوم،نامعادله،تعیین علامت جمع بندی

`01:12

تست های برگزیده قسمت 1 جمع بندی
تست های برگزیده قسمت 1 جمع بندی

`02:08

50 ساعت تدریس کاملا رایگان زیست برای دریافت ویدیو ها شماره ت رو وارد کن
سوالات دیگران

من با روش فرمول به همین جواب استاد می رسم ولی با رسم تابع چچن مجانب افقی y=2 هست همواره نمودار پایین تر از ۳ هست و جواب میشه x های بزرگتر از ۴ یعنی گزینه ۳

تو روش دوم دقیقه ۷ طرفین وسطین کردند‌ در حالی‌ که ما مطمئن نیستیم مخرج‌ همواره‌ درسته‌ تو ضیح میدید

اگر ویس ناواضح بود بگید دوباره ضبط کنم 🌷 ریپلای نباشه 🌷

بیتا قنبری | آکادمی امروز

بیتا قنبری

1 هفته پیش

برای تعیین علامت کردن نمیتونیم طرفین وسطین کنیم چون ممکن علامت نامعادله عوض شه ولی برای بدست آوردن نقاط برخورد مشکلی نداره

میشه راه سوم رو یه بار دیگه توضیح بدید؟؟

استاد چرا وقتی با روش اشتراک گیری حل میکنم جواب تو گزینه ها نیست؟ یعنی اشتباهم کجاست؟

اگر ویس ناواضح بود بگید دوباره ضبط کنم 🌷 ریپلای نباشه 🌷

اینجا استاد میگه تو اولی صفر داریم و تو دومی صفر رو نداریم یعنی اولی بازه بسته منفی ۶ تا ۴ هست ولی دومی از کل اعداد حقیقی فقط ۴ و منفی ۶ رو برداشته سر همین صفر نداریم توش؟

اگر ویس ناواضح بود بگید دوباره ضبط کنم 🌷 ریپلای نباشه 🌷

راه حلم کجا اشتباهه

نرگس مهدوی | آکادمی امروز

نرگس مهدوی

tik

10 ماه پیش

معدله دوم ریشه‌ش منفی ۶ هست نه مثبت۶

سلام زاه حلم کجا اشتباهه

نرگس مهدوی | آکادمی امروز

نرگس مهدوی

tik

10 ماه پیش

سلام توضیح دادم براتون

سلام من با روش عادی میرم ولی ۲بازه اشتراکی ندارن🤔

سلام احتمالا یجا رو اشتباه میکنید از راه حلتون عکس بفرستید راهنمایی کنم 🌷

@سید محمد متین رشادی الان به یه جواب دیگه رسیدم

نامعادله توام چه نامعادله هایی رو شاملن؟

احتمالا منظور استاد ما معادله هایی هست که مثل اینجا،سه قسمتی هستن یعنی یک عبارتی وسطه و دو تا عبارت کوچکتر یا بزرگتر هم عقب و جلوش؟

سلام چرا استاد کسر منفی ۱۷ روی منفی۶ رو در ادامه به ۱۷به روی۶ تبدیل کردن؟ منفی هارو چراباهم زدن؟

زینب مقدم | آکادمی امروز

زینب مقدم

tik

1 سال پیش

سلام چون منفی در منفی میشه مثبت

(1)

اینو جواب بدید

جواب به صورت صوتی می باشد:)

Reyhan V | آکادمی امروز

Reyhan V

1 سال پیش

این سوالو برام توضیح میدین.

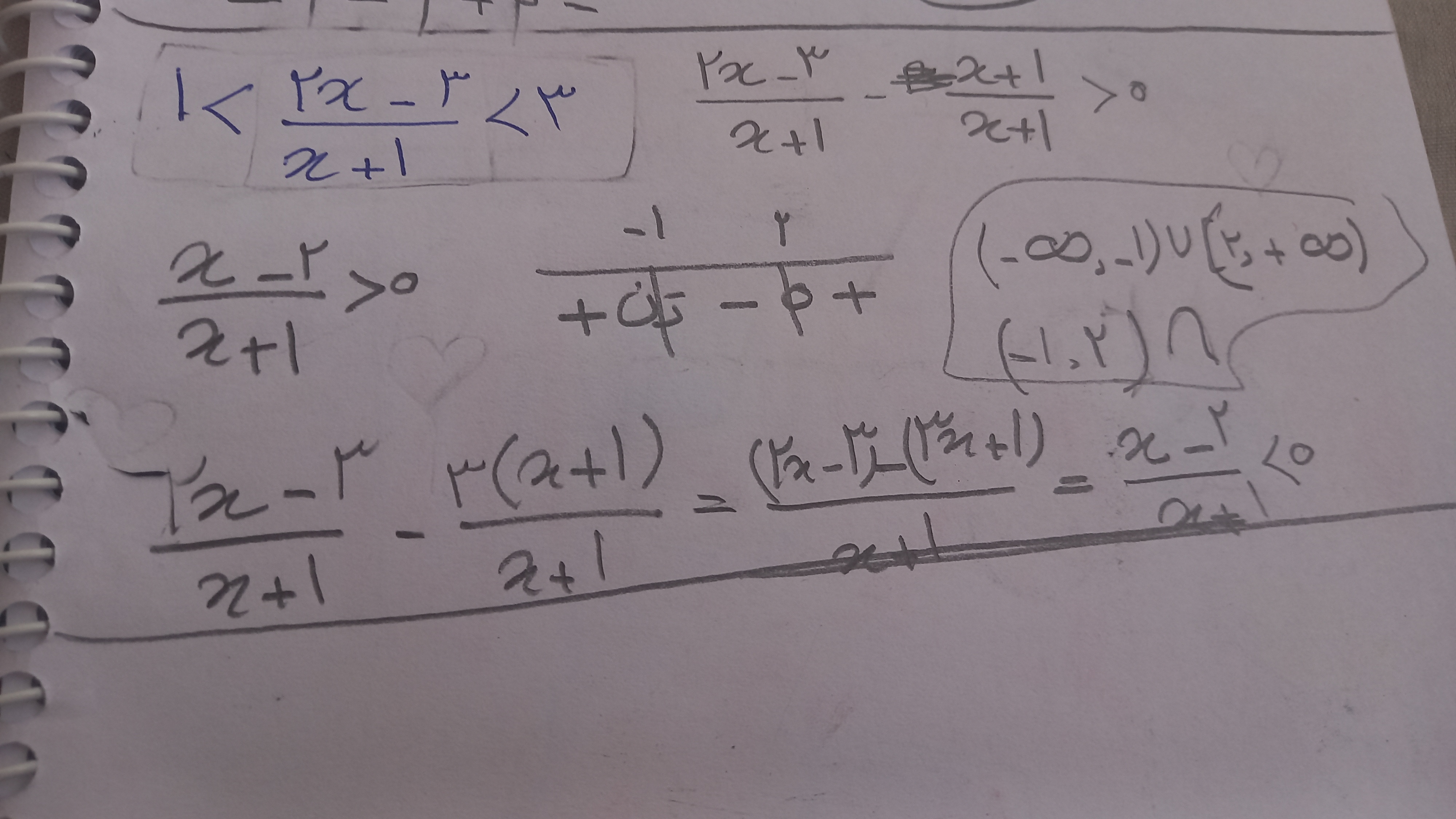
چرا طرفین وسطین کردن؟از کجا میدونن x+1همواره مثبت یا منفی هست؟

زینب مقدم | آکادمی امروز

زینب مقدم

tik

1 سال پیش

جواب به صورت صوتی می باشد:)

(2)

خدمت شما ببخشید حس میکنم تو وویس زیادی گفتم خب haha

(1)

چرا بازه بسته شد سوال ک باز داده

نرگس مهدوی | آکادمی امروز

نرگس مهدوی

tik

1 سال پیش

چون صورت سوال طوری در نظر گرفته شده که مقدار چند جمله ای ۱ و ۳ نشه پس مجبوریم مقادیری که به ازای اون چند جمله ای ۱ و ۳ میشه رو از R کم کنیم شما اگر ۶- بزارین تو مجهول جوابش میشه ۱ پس این مورد نباید تو جوابای باشه، پس اعداد حقیقی رو منهایذاون میکنین

چرا ایکس شد مساوی با چهار من دو در میارم

(1)

جواب به صورت صوتی می باشد:)

(2)