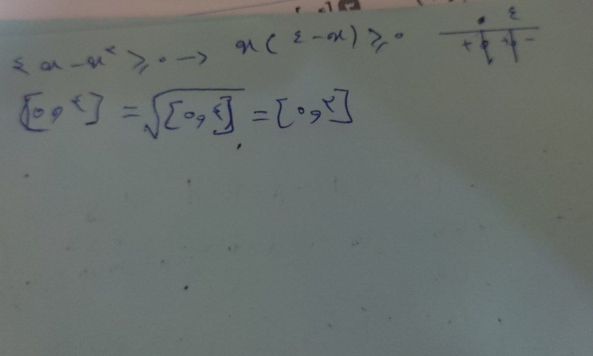
تست های یافتن بُرد توابع

4.8/5
(40 رای)

مرحله 7

نمودار مکان_زمان(خط راست)
نمودار مکان_زمان(خط راست)

`00:57

 تست های یافتن بُرد توابع
تست های یافتن بُرد توابع

`00:54

1 تمرین

تست های همانندسازی(قسمت اول)
تست های همانندسازی(قسمت اول)

`00:27

تست های نمودارمکان_زمان
تست های نمودارمکان_زمان

`00:36

50 ساعت تدریس کاملا رایگان زیست برای دریافت ویدیو ها شماره ت رو وارد کن
سوالات دیگران

ببخشید سایر براکتی ها که اینطوری نیستن چطوری بردشونو پیدا کنیم

اگر ویس ناواضح بود بگید دوباره ضبط کنم 🌷 ریپلای نباشه 🌷

ببخشید کاش میشد روش رسم رو توضیح میدادن من هرکاری میکنم فقط برد ۳ رو پیدامیکنم اصلا ۴ پیدانمیکنم

سلام ببخشید چطوری ایکسی که توان ۲ داشت تونست با ایکس مخرج بره

خاطره شکری | آکادمی امروز

خاطره شکری

1 ماه پیش

راجب کروشه میشه یه توضیح بدید؟

خاطره شکری | آکادمی امروز

خاطره شکری

1 ماه پیش

میشه این سوالو توضیح بدید نمیتونم بفهممش

سلام وقتتون بخیر.. ببخشید میشه لطفا سوال 4 تمرین رو توضیح بدید

دقیقه 44 ثانیه

اگر ویس ناواضح بود بگید دوباره ضبط کنم 🌷 ریپلای نباشه 🌷

سلام، یعنی چی بازه شده بین صفر تا یک؟ چطوری؟

سلام لطفاً تایم مشخص کنید 🌷 ریپلای نباشه 🌷

سلام. ببخشید چرا برا بعضی تست ها که حل میکنم اون تیک سبز خورده نمیشه که بعدا متوجه بشم این تست رو حل کردم یا نه

سلام این مورد رو از پشتیبانی سایت سوال کنید 🌷

Perfect

استاد اولش گف دوتاکارمیتونیم بکنیم ولی یکیشو توضیح دادفقط😂

. . | آکادمی امروز

. .

5 ماه پیش

هیچ درکی از این حرکت نداشتم ممنون میشم یکی روون تر و واضحتر با دلیل بگه چرا وقتی معادله درجه دو ریشه نداشته باشه یعنی y هم نداره الان یه معادله درجه دو ریشه نداره و ضریب a هم مثبت عه و کلا تو مثبت هاست سهمی خب الان این سهمی به ازای هر ایکس یه مقداری داره چرا مقدار نداره 😐 من بد متوجه شدم حس میکنم هرکس توضیح بده ممنون میشم

سلام اوکیه؟

جالبه هر سوال به یه روشی حل میشه .

زینب مقدم | آکادمی امروز

زینب مقدم

tik

6 ماه پیش

👍👍

من اینجوری به دست آوردم

جواب شما که به دست اوردین درست هست اما روش شما اشتباهه این روش که شما باهاش حل کردین برای به دست اوردن دامنه تابع هست نه برد تابع

سلام سهمی چجوری رسم شد

سلام لطفاً تایم مشخص کنید 🌷 ریپلای نباشه 🌷

سلام اوکیه؟

آموزش ویدیویی تست های یافتن بُرد توابع برنامه مطالعاتی دوازدهم دوازدهم توسط بهترین اساتید کنکور به همراه جزوه ، تست ، تمرین و رفع اشکال کنکور | کنکور - آکادمی امروز