تست 4

5/5
(22 رای)
برای مشاهده، ابتدا وارد شوید.
ورود و مشاهده فیلم

مرحله 7

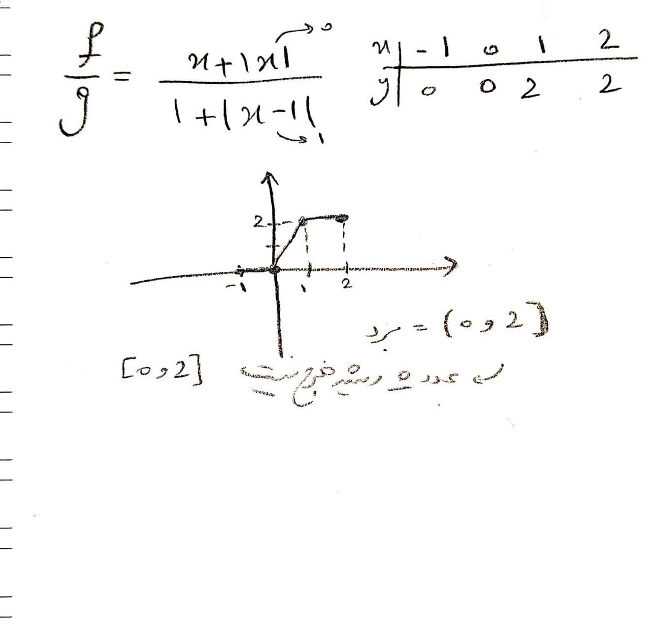
 تست های یافتن بُرد توابع
تست های یافتن بُرد توابع

`00:54

1 تمرین

تست های همانندسازی(قسمت اول)
تست های همانندسازی(قسمت اول)

`00:27

تست های نمودارمکان_زمان
تست های نمودارمکان_زمان

`00:36

50 ساعت تدریس کاملا رایگان زیست برای دریافت ویدیو ها شماره ت رو وارد کن
سوالات دیگران
الهه کریمی | آکادمی امروز

الهه کریمی

9 ماه پیش

تست قبلی و کلا این مبحث برد تابع رو خیلی نامفهوم توضیح دادن. الان ما کلا تو برد تابع گیج شدیم تدریسای دیگه این فصل خیلی عالی بودن ولی این مبحث برد تابع خیلی گیج کننده و نامفهوم و کلی ابهام برامون شد کاش درستش میکزدن یبار دیگه ظبط میکردن

(1)

انتقاداتتون رو حتما به پشتیبانی منتقل کنید تا پیگیری بشه 🌷 ولی با این حال هر قسمتی که نفهمیدید،کامنت بذارید تا براتون توضیح بدیم تایم هم مشخص کنید ریپلای نباشه لطفا 🌷 ممنون

برای xهای کمتر از یک چرا مخرج شدx+2؟؟

نرگس مهدوی | آکادمی امروز

نرگس مهدوی

tik

11 ماه پیش

سوالتون رو با ذکر تایم مجدد کامنت کنین🌼

سلام گزینه 1 اینجا در چه صورتی درست درمیاد

سلام میشه این یکبار توضیح بدید؟

وقتی ما توی مخرج عدد یک رو داریم با اون قدر مطلق جمع می‌کنیم پس حتی اگر x داخل قدر مطلق از یک کوچک تر باشه بازم کسر مون مثبت در میاد تست شماره ۴

خب مخرج همواره مثبته اما صورت می‌تونه صفر باشه همینه منظورت؟

من هیچی نفهمیدم

زینب مقدم | آکادمی امروز

زینب مقدم

tik

1 سال پیش

سلام وویس همزمان با وویس بنویس که قابل درک‌تر باشه💚

مانی صالحی | آکادمی امروز

مانی صالحی

2 سال پیش

سلام خسته نباشید چرا استاد اشاره ای به رسم شکل نکردن؟ روش خیلی بهتریه به نسبت

(1)

سلام این سوال منم هست که واسه چنین توابعی هم میشه با عدد گذاری ریشه قدر مطلق و قبل و بعدش رسم و حل کنیم؟

مانی صالحی | آکادمی امروز

مانی صالحی

2 سال پیش

@مریم سادات موسوی سلام قاعدتا میشه چون هیچ فرقی با جواب استاد نداره فقط باید حواسمون باشه که برد تابعی که سوال خواسته کسریه و برای ریشه مخرجش برد تعریف نمیشه.

تو پیدا کردن برد قدر مطلق حتما باید هم حالت مثبت هم منفی اش رو در نظر بگیریم؟؟؟؟

maryam chaghaei | آکادمی امروز

maryam chaghaei

2 سال پیش

بله

(1)

Saghar Kr | آکادمی امروز

Saghar Kr

2 سال پیش

سلام خسته نباشید سوالم اینه که چرا وقتی ایکسو بزرگتر یا کوچیکتر از ۱ میگیره ،علامت برابری نمیزاره؟ به طور کلی چرا دامنه ها همه باز هستند؟

سلام میشه این سوال رو توضیح بدید من اصلا متوجه نمیشم نمیدونم چرا!

ببخشید چرا نمیایم اول برد هرکدوم را حساب کنیم بعد تقسیم کنیم ؟ استاد الان کل اف ایکس را تقسیم بر جی ایکس کردن

نرگس رحیمی | آکادمی امروز

نرگس رحیمی

tik

2 سال پیش

سلام عزیزم این چیزی که شما میگین اصلا امکان نداره در واقع وقتی ما داریم تابع f رو بر g تقسیم میکنیم خود تابعا هستن بعد باید تابع جدید رو ببینیم دامنه اش یا بردش چی میشه مثلا فرض تابع f هستش y=x و تابع g هستش y=1/2x بعد شما میاید در محدوده x های ۰ تا ۲ میخواید برد رو محاسبه کنید اولش بردش میشه ۰ تا ۲ و دومی میشه ۰ تا ۱ الان اگر اینارو ب هم تقسیم کنیم چی میخواد بشه ؟ مثلا میشه ۰ تا ۱ ؟ اما درست نیست که ، شما اگر ضابطه هارو محاسبه کنید تابع میشه y=1/2 که بردش فقط شامل عدد ۱/۲ هستش بنابراین این مثال نقضی بود تا بفهمید اینکار غلطه

سلام وقتتون بخیر ابنجا چرا بازه صفر باز شد تو نمودار؟

نرگس رحیمی | آکادمی امروز

نرگس رحیمی

tik

2 سال پیش

سلام عزیزم y برابر صفر وقتی ایجاد میشه که x شما هم برابر صفر باشه اما همونطور که میبینید x ها بزرگتر از ۰ و کوچکتر از ۱ هستن و هیچکدوم مساوی ندارن

سلام ببخشید سوال دوم تمرین ها که در رابطه با همین سوال هستش رو با روش استاد نمیتونم حل کنم و شما توی پاسخنامه با حد حل کردید که من اصلا متوجه نمیشم

الان دو تا نمودار هموگرافیک بدست اومده نمیدونم باید چطور پیش برم

نرگس رحیمی | آکادمی امروز

نرگس رحیمی

tik

3 سال پیش

@امیرحسین زارعی سلام وقت بخیر من با راه حل استاد براتون نوشتم . بیاید x هارو محدوده یابی کنید و از قدر مطلق دربیارید بعد ضابطه هارو در هر محدوده بازنویسی کنید میبینید که دو ضابطه تعریف نشده میشن .

(2)

سلام. خسته نباشید. توی حل این سوال علامت های بزرگتر یا کوچکتر از صفر یا یک رو میتونیم به بزرگتر مساوی یا کوچکتر مساوی تبدیل کنیم؟ در این صورت تفاوتی در جواب به دست اومده نیست.

سلام و درود چرا باید تبدیل کنیم؟ راستش متوجه منظورتون نشدم

@سجاد اسماعیلی جواب به صورت صوتی می باشد:)

@فاطمه دیاری آها متوجه شدم بله میتونیم اینکارو کنیم چون تابع پیوسته است و مشکلی ایجاد نمیکنه

سلام وقتتون بخیر ، ببخشید من یکم گیج شدم ، ما برای پیدا کردن دامنه نمیتونیم عبارت سوال رو ساده کنیم و دامنه رو بدست بیاریم و باید بدون اینکه تغییرش بدیم دامنه ش رو پیدا کنیم ، ولی برای پیدا کردن برد ، مجاز به ساده کردن عبارت و بعد پیدا کردن برد هستیم ؟؟

سلام و درود بله میتونیم اینکارو کنیم چون در دامنه ما احتمال عدم تعریف نقاط رو داریم یعنی ممکنه در جایی مخرج صفر بشه و ما با این ساده کردن اون عامل صفر شونده رو از بین ببریم چیزی که تعریف نمیشه رو تعریف شده کنیم ولی در محاسبه برد دیگه هرچی توی تابع هست از دامنه بدست اومده که حتما تعریف شده است دیگه هرچی توی دامنه هست تعریف شده است پس مشکلی نداره ساده اش کنیم

(2)