تست های انرژی در حرکت هماهنگ ساده

5/5
(3 رای)

مرحله 55

اکسترمم مطلق
اکسترمم مطلق

`00:43

تست های آنتالپی فروپاشی شبکه
تست های آنتالپی فروپاشی شبکه

`00:35

باکتری های فتوسنتز و شیمیموسنتز کننده، آغازیان فتوسنتز کننده
باکتری های فتوسنتز و شیمیموسنتز کننده، آغازیان فتوسنتز کننده

`00:38

 تست های انرژی در حرکت هماهنگ ساده
تست های انرژی در حرکت هماهنگ ساده

`01:13

50 ساعت تدریس کاملا رایگان زیست برای دریافت ویدیو ها شماره ت رو وارد کن
سوالات دیگران

سلام میتونستیم معادله نوسانگر بنویسیم بعد نقطه رو جاگذاری کنبم؟

ستاره جعفری  | آکادمی امروز

ستاره جعفری

10 ماه پیش

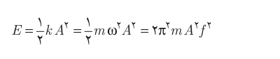
E چند تا فرمول داره هر سری یک چیز جدید ازش رو میشه

اگر ویس ناواضح بود بگید دوباره ضبط کنم ریپلای نکنید 🌷

ستاره جعفری  | آکادمی امروز

ستاره جعفری

10 ماه پیش

@سید محمد متین رشادی ممنون لطف کردید

ستاره جعفری  | آکادمی امروز

ستاره جعفری

10 ماه پیش

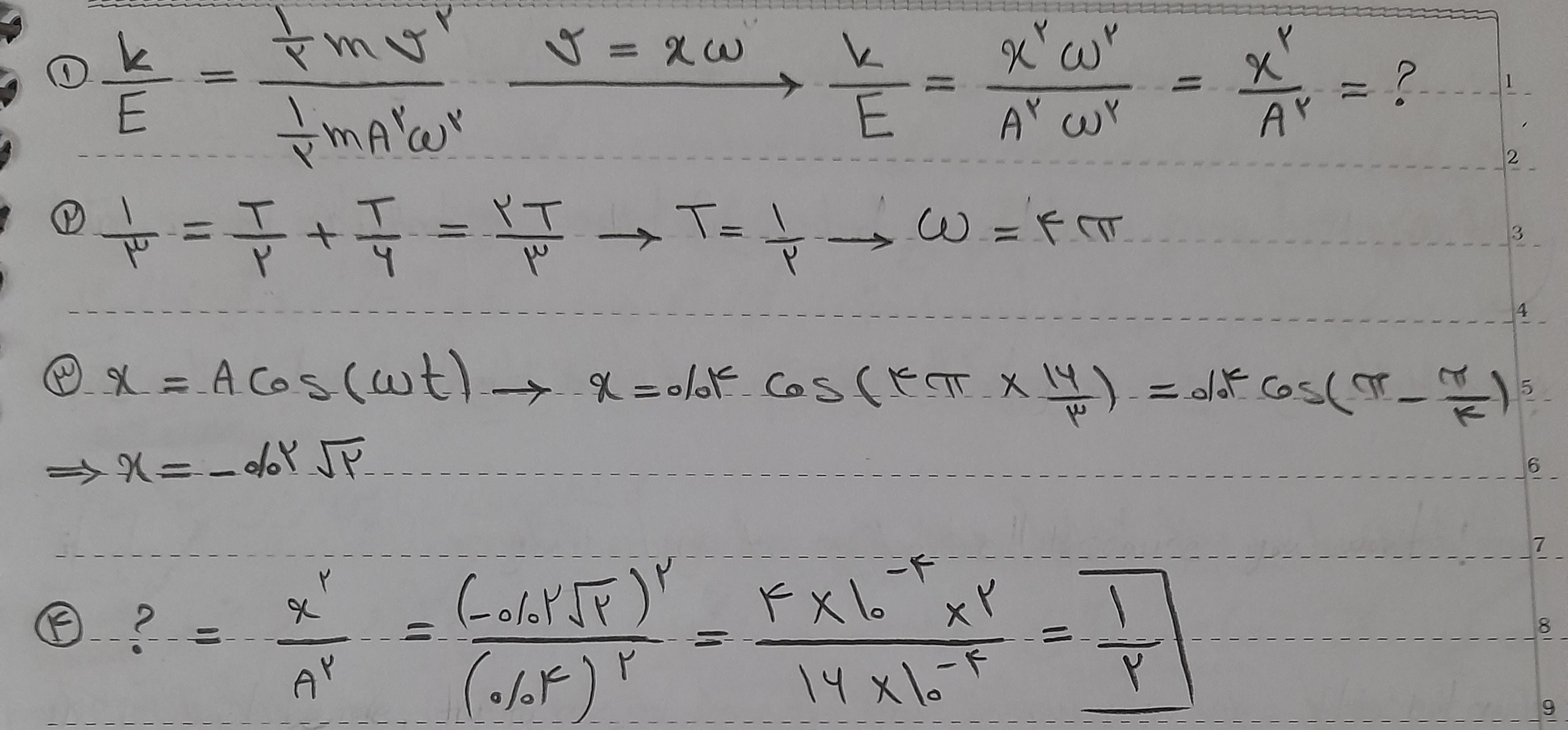
مگه U یا K نباید توی سوال max باشند تا از این رابطه استفاده کنیم ۱/۲mAW(AوW توان ۲ دارن )

اگر ویس ناواضح بود بگید دوباره ضبط کنم ریپلای نکنید 🌷

ستاره جعفری  | آکادمی امروز

ستاره جعفری

10 ماه پیش

E چند تا فرمول داره ؟؟

اگر ویس ناواضح بود بگید دوباره ضبط کنم ریپلای نکنید 🌷

ستاره جعفری  | آکادمی امروز

ستاره جعفری

10 ماه پیش

چرا اینجا برای E از این رابطه استفاده کرد مگه این رابطه ی UMax نیست

در ویس توضیح دادم خدمتتون 🌷

تو فرمول انرژی جنبشی سرعتو میشه متناسب با دامنه گرفت دیگه درسته؟

نرگس مهدوی | آکادمی امروز

نرگس مهدوی

tik

10 ماه پیش

بله

دقیقا ۱۰ به توان منفی۴ از کجا امد🚹

اگر ویس ناواضح بود بگید دوباره ضبط کنم ریپلای نکنید 🌷

سلام اون قسمت چجوری شد t ششم؟ چرا t چهارم نشد؟

نرگس مهدوی | آکادمی امروز

نرگس مهدوی

tik

1 سال پیش

سلام چه زمانی؟

NAFAS ‌ | آکادمی امروز

NAFAS ‌

1 سال پیش

اگه ایکس رادیکال دو تقسیم بر دو به دست نمی اومد که برای ما آشنا باشه ... ی چیز دیگه میشد اون موقع باید چیکار میکردیم ؟

خب معمولا یجوری میدن که رابطه داشته باشه با A و یا به هر حال یجوری میدن که بشه باهاش سوال رو حل کرد اعداد بی ربط نمیدن

این روش هم درسته ؟

اگر ویس ناواضح بود بگید دوباره ضبط کنم 🌷 ریپلای نباشه 🌷

من از این روش رفتم :)

درسته منتها در سطر دوم،یادتون رفته توان دو بذارید برای سرعت ماکزیمم ولی جوابتون درسته

فرهاد نجیبی | آکادمی امروز

فرهاد نجیبی

11 ماه پیش

جواب به صورت صوتی می باشد:)

انسیه اسدی | آکادمی امروز

انسیه اسدی

1 سال پیش

مگه نگفته بودن هر وقت توی بعد منفی Aدوم بود این شرط بر قراره؟ یعنی توی بعد یک دوم دامنه این شرط برقرار مگه نبود؟

نرگس مهدوی | آکادمی امروز

نرگس مهدوی

tik

1 سال پیش

سلام سوالتون دقیقا از چه زمانی هست؟

انسیه اسدی | آکادمی امروز

انسیه اسدی

1 سال پیش

مگه ی رابطه ی E برابر با دو ام در پی دو در اف دو در آ دو درست نیست؟پس چرا جوابا یکی در نمیاد؟

نرگس مهدوی | آکادمی امروز

نرگس مهدوی

tik

1 سال پیش

میتونی ذو کاغذ بنویسی این فرمولی که گفتی رو؟

انسیه اسدی | آکادمی امروز

انسیه اسدی

1 سال پیش

@نرگس مهدوی جواب به صورت صوتی می باشد:)

انسیه اسدی | آکادمی امروز

انسیه اسدی

1 سال پیش

@نرگس مهدوی توی عکس اونجایی که با صورتی هایلایت کردم

انسیه اسدی | آکادمی امروز

انسیه اسدی

1 سال پیش

چون انرژی پتانسیل با نیروی کشسانی فنر رابطه ی مستقیم داره و نیروی کشسانی فنر هم با دلتا ایکس رابطه ی مستقیم داره پس انرژی پتانسیل با دلتا ایکس رابطه ی مستقیم داره .درسته؟ کاری با تست ندارم کلی پرسیدم؟

نرگس مهدوی | آکادمی امروز

نرگس مهدوی

tik

1 سال پیش

بله

انسیه اسدی | آکادمی امروز

انسیه اسدی

1 سال پیش

توی این سوال : ما گفتیم جایی که انرژی جنبسی و پتانسیل با هم برابر هست نوسانگر توی بعد Aدوم هست و از اونجایی که فرمول سرعت رو داریم V=XWپس دو و نیم سانتی متر ضرب در ده به توان منفی دو ضرب در دو پی تقسیم بر یک دهم که Tمیکنیم که جواب برابر میشه یک دوم پی . کجای این راه حل غلطه؟

نرگس مهدوی | آکادمی امروز

نرگس مهدوی

tik

1 سال پیش

سلام لطفا راه حل رو روی کاغذ بنویسین و بفرستین

آموزش ویدیویی تست های انرژی در حرکت هماهنگ ساده برنامه مطالعاتی دوازدهم دوازدهم توسط بهترین اساتید کنکور به همراه جزوه ، تست ، تمرین و رفع اشکال کنکور | کنکور - آکادمی امروز