تست تعادلی گرمایی با تغییر حالت

4.8/5
(10 رای)

1 اسفند

تست تعادلی گرمایی با تغییر حالت
تست تعادلی گرمایی با تغییر حالت

`01:01

1 تمرین

 قانون کولن + مسائل قانون کولن
قانون کولن + مسائل قانون کولن

`01:05

 هدایت پیام عصبی
هدایت پیام عصبی

`01:24

 انتقال پیام عصبی
انتقال پیام عصبی

`00:59

 یافتن بُرد توابع
یافتن بُرد توابع

`00:49

50 ساعت تدریس کاملا رایگان زیست برای دریافت ویدیو ها شماره ت رو وارد کن
سوالات دیگران

سلام ممکنه روش معمولیش هم قرار بدید ؟... ایا اصن از روش تشریحی حل میشه؟

جواب به صورت صوتی می باشد:)

@فاطمه رحیمی نسب متشکرمممم :)

. . | آکادمی امروز

. .

3 سال پیش

@فاطمه رحیمی نسب سلام اگر اینطور که شما میگید Mپرین برابر با مقدار یخ ذوب شده باشه ،پس اون مقدار یخ ذوب نشده کجا رفته؟خب اونم که تو لیوانه(برای همین هست که میگیم مخلوط اب و یخ داریم)ما که نمی تونیم بگیم یخ ذوب نشده را از لیوان در اوردن بعد جرمش را گزارش دادن!

@. . جواب به صورت صوتی می باشد:)

رضا آفاقی | آکادمی امروز

رضا آفاقی

2 سال پیش

@فاطمه رحیمی نسب میشه عکس راه حلش رو بگذارید؟

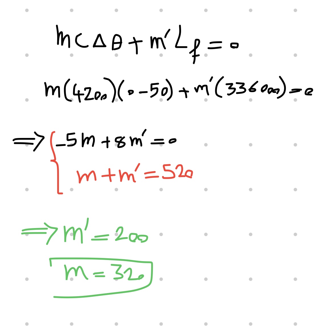
@رضا آفاقی عکسش رو براتون قرار دادم🌻

رضا آفاقی | آکادمی امروز

رضا آفاقی

2 سال پیش

@فاطمه رحیمی نسب لطف کردید🌹

@فاطمه رحیمی نسب اینجا اون قسمتی که سبز رنگ نوشته شده چطور بدست اومد

@فاطمه جعفرزاده جواب به صورت صوتی می باشد:)

زهرا باقری | آکادمی امروز

زهرا باقری

1 سال پیش

@فاطمه رحیمی نسب سلام وقت بخیر دوتا معادله چطور تشکیل شده؟

@زهرا باقری جواب به صورت صوتی می باشد:)

زهرا باقری | آکادمی امروز

زهرا باقری

1 سال پیش

@سید محمد متین رشادی درسته ممنون از پاسخگویی تون👍🌹

چرا در این سوال به جای آب صفر درجه 80- نذاشبیم ؟

ما باید به جای یخ صفر درجه۸۰- بزاریم نه آب برای آب باید دمایی که تو سوال داده رو بزاریم الان مثلا اینجا آب صفر درجه بود پس باید ۰ میزاشتیم

چرا در این سوال به جای آب صفر درجه 80- نذاشبیم ؟

سلام من نفهمیدم سوال را میشه لطفا توصیح بدین ممنون

https://emrooz.ir/cbgstbc-15899?comment_id=438614#comment-438614 اگر ویس ناواضح بود بگید دوباره ضبط کنم 🌷 ریپلای نباشه 🌷

سلام روز بخیر من این دوتا استدلال را اصلا نفهمیدم میشه توضیح بدین(منظورم استدلال غلط وهم صحیح)

z z | آکادمی امروز

z z

3 ماه پیش

سلام ببحشید در اینجا 100 درجه مال اب است چرا استادتتا1 رو 100 گذاشت ؟؟

z z | آکادمی امروز

z z

3 ماه پیش

سلام ببخشید دراینجا گرمای مس از دست داده و منفی است یعنی همیشه منفی رو در در نظر نمیگریم یا استاد همشو مساوی صفر گذاشته بعد برده اون طرف مساوی مثبت شده ؟؟

z z | آکادمی امروز

z z

3 ماه پیش

ببخشید همیشع تو این جور سوال ها منفی رو در نظر نمی گیریم ؟؟

کجای سوال ؟ ممنون میشم تایم مشخص کنید 🌷 ریپلای نباشه 🌷

z z | آکادمی امروز

z z

3 ماه پیش

سلام ببخشید در این اینجا استاد چرا تتا 1 رو 100 گرفتن اخه مگه 100 مال اب نیست ؟؟میشه این قسمت رو توضح بدید ممنون

سلام لطفاً تایم مشخص کنید 🌷 ریپلای نباشه 🌷

z z | آکادمی امروز

z z

3 ماه پیش

سلام ببخشید اگر خود سوال مثلا منفی بده دمای تعادل رو واز ما مثلا جرم رو بخواد وما هم وقتی از روش بورسی استفاده کردیم اون وقت بازم دمای تعادل رو صفر می گذاریم بعد جرم رو بدست میاریم ؟؟؟

سلام اصلا دمای تعادل در تعادل بین آب و یخ نمیتونه منفی باشه و منطقا سوالی نمیتونه این شکلی طرح بشه (حداقل بنده که تا حالا ندیدم)

z z | آکادمی امروز

z z

3 ماه پیش

سلام ببخشیددر یاذ بگیریم 1 که یک سوال بود اب ویک قطعه مس که استاد از فرمول m1c1تتا1 بعلاوه m2c2تتا2تقسیم بر m1c1+m2c2حل کردند ولی چرا وقتی این سوال رو حل میکنم جواب درست نمیاد ؟؟؟؟؟؟

z z | آکادمی امروز

z z

3 ماه پیش

منظورم این سواله ؟

اگر ویس ناواضح بود بگید دوباره ضبط کنم 🌷 ریپلای نباشه 🌷

الهه کریمی | آکادمی امروز

الهه کریمی

3 ماه پیش

سلام چجور نتیجه گرفتیم مخلوط اب و یخ؟

میشه اینو با روش تشریحی حل کنید هرکار میکنم جوابم۱۰°C میشه

عکس راه حلتون رو بفرستید راهنمایی کنم 🌷 ریپلای نباشه 🌷

z z | آکادمی امروز

z z

3 ماه پیش

جواب به صورت صوتی می باشد:)

سلام من اینطوری حل کردم اما تقریبی شد.! اشتباهه ؟؟

..  . | آکادمی امروز

.. .

3 ماه پیش

سلام چرا استاد گفتن تتا 2 رو میخوایم؟ مگه تتا 2 نمیشه همون دمای تعادل که 100 هس؟ در واقع ما دمای اولیه رو نداریم که توضیح میدید لطفا

اگر ویس ناواضح بود بگید دوباره ضبط کنم 🌷 ریپلای نباشه 🌷

آموزش ویدیویی تست تعادلی گرمایی با تغییر حالت برنامه مطالعاتی 150 روزه هفته 5 توسط بهترین اساتید کنکور به همراه جزوه ، تست ، تمرین و رفع اشکال کنکور | کنکور - آکادمی امروز