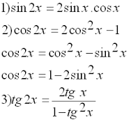
روابط 2 برابر کمان کسینوس

5/5
(1 رای)

13 فروردین

نحوه عملکرد پادتن ها و لنفوسیت ها T
نحوه عملکرد پادتن ها و لنفوسیت ها T

`01:13

2 تمرین

 حرکت و اندازه ی ذره در میدان مغناطیسی
حرکت و اندازه ی ذره در میدان مغناطیسی

`01:43

حرکت، ارتباط شیمیایی و ایمنی جانوران
حرکت، ارتباط شیمیایی و ایمنی جانوران

`00:27

 تست های نیرو در میدان مغناطیسی
تست های نیرو در میدان مغناطیسی

`01:13

1 تمرین

 روابط 2 برابر کمان کسینوس
روابط 2 برابر کمان کسینوس

`01:02

1 تمرین

50 ساعت تدریس کاملا رایگان زیست برای دریافت ویدیو ها شماره ت رو وارد کن
سوالات دیگران
سوزان صالحی | آکادمی امروز

سوزان صالحی

4 هفته پیش

عالی بود🥹

اون 2 داخل پرانتز باز واسه چیه پشت سینوس..

نرگس مهدوی | آکادمی امروز

نرگس مهدوی

tik

8 ماه پیش

سلام این فرمول های مختلف cos2x هست

نرگس مهدوی | آکادمی امروز

نرگس مهدوی

tik

8 ماه پیش

جواب به صورت صوتی می باشد:)

@نرگس مهدوی اره ولی استاد دوتا 2 گذاشتن فک کنم یکی بیرون پرانتز یکی داخل پرانتز

نرگس مهدوی | آکادمی امروز

نرگس مهدوی

tik

8 ماه پیش

@ثنا کاظم زاده اونجا دوباره sin2x رو باز کردن

@نرگس مهدوی اها اره ممنون

مهسا کاظمی | آکادمی امروز

مهسا کاظمی

9 ماه پیش

سلام وقت بخیر میشه بگین اینو پطوری حل کنم؟؟

سلام لطفا عکس پاسخنامه رو هم کامنت کنید که طبق همون توضیح بدم براتون 🌷 ریپلای نباشه لطفا 🌷

سلام

نرگس مهدوی | آکادمی امروز

نرگس مهدوی

tik

11 ماه پیش

سلام حلش رو براتون نوشتم

بسی زیبا بود

H M | آکادمی امروز

H M

1 سال پیش

اگر به جای این کار فقط عبارت داخل پرانتز را جابجا کنیم یعنی بشه منهای پی دوم به اضافه دو آلفا بعد منهای پی دوم میشه ربع چهار به اضافه دو آلفا بازم میشه ربع چهار پس چرا متفاوت در میاد

جواب به صورت صوتی می باشد:)

H M | آکادمی امروز

H M

1 سال پیش

@سید محمد متین رشادی اره جواب همون میشه ولی چرا ربع ها تغییر کرد ؟

روشِ حلِ چی یاد گرفتی دوم رو توضیح میدید لطفا؟

جواب به صورت صوتی می باشد:)

Z E | آکادمی امروز

Z E

1 سال پیش

سلام چی یاد گرفتیم آخر رو میشه یکی برام حل کنه کامل

A M | آکادمی امروز

A M

1 سال پیش

راهی نیست سینوس و کسینوس هر زاویه ای بدون فرمول بدست بیاریم

مگر اینکه بخوای همشو حفظ کنی که اصلا عقلانی و ممکن نیست(فقط همون معروفا رو حفظ باش) و با همین روابط و فرمول ها،برسی به زوایای رابطه دار دیگه تنها راه منطقیش همینه

در اینجا میتونیم جذر بگیریم بعد حل کنیم یا فقط باید اتحاد بزنیم؟

فاطمه صفری | آکادمی امروز

فاطمه صفری

1 سال پیش

سلام این سوال رو برام توضیح میدید

سلام طراح الکی گزینه ها رو پیچونده 😊 خدمت شما

جواب به صورت صوتی می باشد:)

فاطمه صفری | آکادمی امروز

فاطمه صفری

1 سال پیش

@سید محمد متین رشادی رابطه رو چطوری بازش کردین؟

سلام روش حل این سوال بصورت تشریحی چه میشه

numb ‌ | آکادمی امروز

numb ‌

1 سال پیش

چرا با این روش غلط اومد جواب؟

نرگس مهدوی | آکادمی امروز

نرگس مهدوی

tik

1 سال پیش

این سوال تو چه زمانی حل شده؟

numb ‌ | آکادمی امروز

numb ‌

1 سال پیش

@نرگس مهدوی زمانش ۰۴:۰۰

. . | آکادمی امروز

. .

1 سال پیش

سلام اشکال این راه حل چیه که جوابم اشتباه میشه؟

سلام این دوتا عدد رو از کجا آوردید؟

. . | آکادمی امروز

. .

1 سال پیش

@سید محمد متین رشادی 13 پایینی را در واقع برای تشکیل مثلث متساوی الساقین کشیدم .

@. . اشکال این روش،در محدوده آلفا هست یعنی طبق این شکلی که شما کشیدید،آلفا کوچکتر از پی دوم فرض شده در حالیکه طبق داده سوال،آلفا بین پی تا پی دوم هست و در نتیجه آلفا دوم بین 90 تا 135 درجه باید باشه و همین باعث شده که با شکل کشیدن به اشتباه بیفتید اگر هم با معادله حل کنید این رو،آخرش دوتا جواب برای تانژانت آلفا دوم بدست میاد که یکیش منفی دو سوم و یکیش هم منفی سه دوم هست و منفی دو سوم بدلیل محدوده کمان آلفا،غیر قابل قبول هست،چرا که اگر محدوده آلفا دوم رو روی دایره مثلثاتی بررسی کنیم،مقدارش در بازه از منفی بینهایت تا منفی یک هست این رو توی پاسخنامه این سوال هم نوشته

. . | آکادمی امروز

. .

1 سال پیش

@سید محمد متین رشادی خیلی ممنون

میشه این قسمتو توضیح بدین

نرگس مهدوی | آکادمی امروز

نرگس مهدوی

tik

1 سال پیش

سلام دو عبارت اتحاد مزدوج دارن پس اونها رو به صورت مزدوج در هم ضرب می کنیم از طرفی از مثلاث دوازدهم می دونیم که کوسینوس دوبرابر یه زاویه ای برابر میشه با فرمولی که شما از اتحاد بدست اوردین پس در واقع اینجا نیاز هست شما کوسینوس ۳۰ رو بدست بیارین

آموزش ویدیویی روابط 2 برابر کمان کسینوس برنامه مطالعاتی 120 روزه هفته 6 توسط بهترین اساتید کنکور به همراه جزوه ، تست ، تمرین و رفع اشکال کنکور | کنکور - آکادمی امروز