تست10

5/5
(5 رای)
برای مشاهده، ابتدا وارد شوید.
ورود و مشاهده فیلم

16 بهمن

تست موازنه‌ی واکنش‌های شیمیایی
تست موازنه‌ی واکنش‌های شیمیایی

`00:17

1 تمرین

بخش مبادله ای دستگاه تنفس
بخش مبادله ای دستگاه تنفس

`01:19

1 تمرین

حل معادلات رادیکالی
حل معادلات رادیکالی

`00:55

1 تمرین

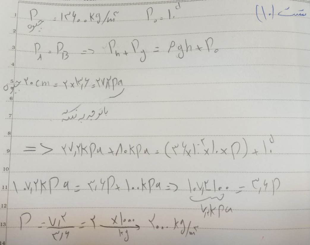
 فشارسنج شاره (مانومتر)
فشارسنج شاره (مانومتر)

`01:28

1 تمرین

حل معادلات قدرمطلقی
حل معادلات قدرمطلقی

`00:38

50 ساعت تدریس کاملا رایگان زیست برای دریافت ویدیو ها شماره ت رو وارد کن
سوالات دیگران

محاسبه اخرش رو متوجه نشدم میشه یکی توضیح بده؟

اگر ویس ناواضح بود بگید دوباره ضبط کنم 🌷 ریپلای نباشه 🌷

سارا حتمی | آکادمی امروز

سارا حتمی

10 ماه پیش

سلام، پس یعنی برای تبدیل کیلو پاسکال به کیلوگرم بر متر مکعب، باید ضربدر ده به توان سه کنیم؟ دقایق اخر ویدیو

نرگس مهدوی | آکادمی امروز

نرگس مهدوی

tik

10 ماه پیش

سلام این تبدیل نیست صرفا یه مجهول داشتیم که باید اون رو بدست بیاریم

Helia Safaie | آکادمی امروز

Helia Safaie

2 سال پیش

سلام من جای اینکه بیام بقیرو به کیلو پاسکال برسونم 8 کیلو پاسکال رو از کیلیو پاسکال دراوردم و به همین جواب رسیدم

جواب به صورت صوتی می باشد:)

(2)

Helia Safaie | آکادمی امروز

Helia Safaie

2 سال پیش

@سید محمد متین رشادی بله ممنون

سلام.....خسته نباشید اگه میشه اینو یه بار برای من توضیح بدید ممنون میشم

جواب به صورت صوتی می باشد:)

با این روشی که خوده استاد تو تستای قبلی گفتن هم میشه حل کرد دیگه درسته

(1)

سلام بله روشی که نوشتید درست هست