یادبگیریم2:ترکیب توابع زوج مرتبی

برای مشاهده، ابتدا وارد شوید.
ورود و مشاهده فیلم

2 فروردین

 دستگاه عصبی محیطی + تست
دستگاه عصبی محیطی + تست

`02:45

1 تمرین

 ترکیب توابع زوج مرتبی+ضابطه ترکیب توابع
ترکیب توابع زوج مرتبی+ضابطه ترکیب توابع

`01:16

2 تمرین

 تست خازن + انرژی ذخیره شده در خازن
تست خازن + انرژی ذخیره شده در خازن

`01:11

1 تمرین

50 ساعت تدریس کاملا رایگان زیست برای دریافت ویدیو ها شماره ت رو وارد کن
سوالات دیگران

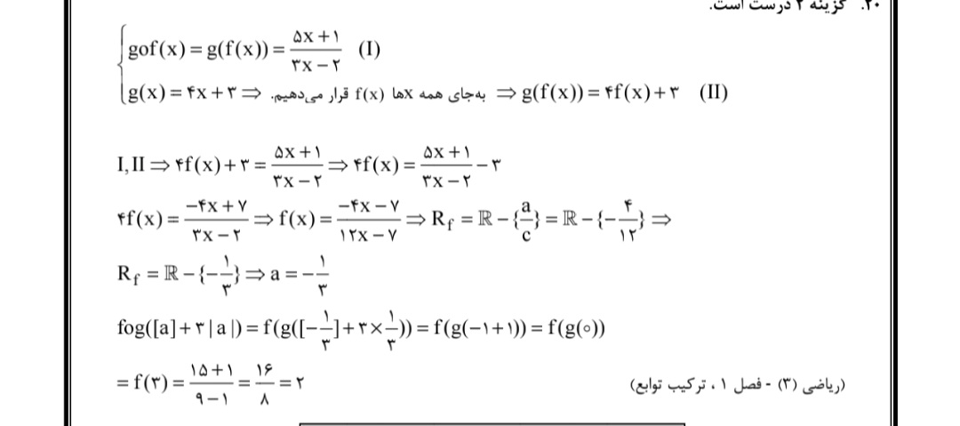
چی یاد گرفتی گزینه ۲

(1)

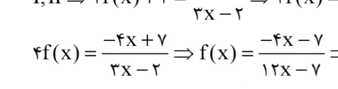
چی یادگرفتی گذینه 2

زینب مقدم | آکادمی امروز

زینب مقدم

tik

1 سال پیش

👍

یکی اینو توضیح بده چطور شد هر جور حساب می کنم نمیشه 🤣🤣🤣

طهورا عیوضی | آکادمی امروز

طهورا عیوضی

11 ماه پیش

😂😂این مشکل داره احتمالا .. کل سوالو بفرست..

میثم دامک | آکادمی امروز

میثم دامک

10 ماه پیش

طرفین رو به ۴ تقسیم کرده یا همون به ۱ چهارم ضرب کرده

سلام جواب گذینه دو چیی یادگرفتی

زینب مقدم | آکادمی امروز

زینب مقدم

tik

1 سال پیش

👍👍

(1)

@زینب مقدم سلام میشه سوال من بالاتر هست جواب بدی

زینب مقدم | آکادمی امروز

زینب مقدم

tik

1 سال پیش

@سیدسجاد موسوی سیج باشه یکم واقعا گنگه😅 یه اسکرین بزرگتر بفرست قبل و بعدش بیفته سوالت رو جدا بفرست دوباره💚

@زینب مقدم بفرمایید مشکل من اونجاست که چطور اون تابع رو تقسیم بر 4 کرد شد ۷-۴x- به روی 7-12x

جواب میشه گزینه دوم.

(4)

یعنی خروجی تابع اولی میشه ورودی تابع دومی؟ همیشه همین جوریه؟ ترکیبی هست که جواب نداشته باشه یعنی تهی باشه؟

(1)

علی یزدانی | آکادمی امروز

علی یزدانی

2 سال پیش

اره به جز شرایط خاص پیش بیاد دیگه

(1)

گزینه ۲

(2)

اره

سلام وقت بخیر جواب چی یاد گرفتی نباید یکی از گزینه ها۳و۵ باشه؟

(1)

سلام وقت بخیر نه همون گزینه دوم درست میشه

(3)

سلام خداقوت :)

(6)

@مهلا روحی پور مرسی عزیزم.

(1)

@مهلا روحی پور نفمیدم🤔 خو یکیش مگه نمیشه ت ن چرا گزینه 2 درسته

@علی یاراحمدی سلام (: تعریف نشده اگه ایکس بدیم پنج میشه سه ولی سه اگه بدیم ک تو تابع ایکس =۳نداریم به خاطر همین ت ن میشه گزینه یک یعنی ایکس بده سه که اصلا تو تابع f ،ایکس =3 نداریم پس غلط گزینه دو f (f(x) جای ایکس بزار دو میشه پنج ، پنج هم بدی ایگرگ میشه سه (۳و۲)

(3)

K  .Sh | آکادمی امروز

K .Sh

2 سال پیش

@علی یاراحمدی ما اصلا با تعریف نشده ها کاری نداریم که تو جواب اونایی رو مینویسیم که تعریف شدن

(1)

@K .Sh ممنونم💜