تست3

5/5
(29 رای)
برای مشاهده، ابتدا وارد شوید.
ورود و مشاهده فیلم

مرحله ۳۱

تنظیم آب + تست فصل 5
تنظیم آب + تست فصل 5

`01:21

1 تمرین

مقدمات فصل و درصد جرمی
مقدمات فصل و درصد جرمی

`00:52

1 تمرین

قوانین توان و ریشه
قوانین توان و ریشه

`01:13

1 تمرین

قضیه کار-انرژی جنبشی
قضیه کار-انرژی جنبشی

`01:06

1 تمرین

50 ساعت تدریس کاملا رایگان زیست برای دریافت ویدیو ها شماره ت رو وارد کن
سوالات دیگران

اگ امکانش هست این سوالو روی برگه مفصل توضیح بدین ممنونم

؟....

از راه حلت یه عکس برام بفرست ببینم چکار کردی

سلام

(1)

زینب مقدم | آکادمی امروز

زینب مقدم

tik

2 سال پیش

سلام وویس

میشه واضح تر سوالو توضیح بدین لطفاً ؟؟

(1)

زینب مقدم | آکادمی امروز

زینب مقدم

tik

2 سال پیش

سلام وویس

سلام مگه58 پاسخ دقیق نیست؟پس چرا سوال گفته«به قریب»؟

(2)

زینب مقدم | آکادمی امروز

زینب مقدم

tik

2 سال پیش

سلام وویس

Helia Safaie | آکادمی امروز

Helia Safaie

2 سال پیش

ممنون رفیق

Helia Safaie | آکادمی امروز

Helia Safaie

2 سال پیش

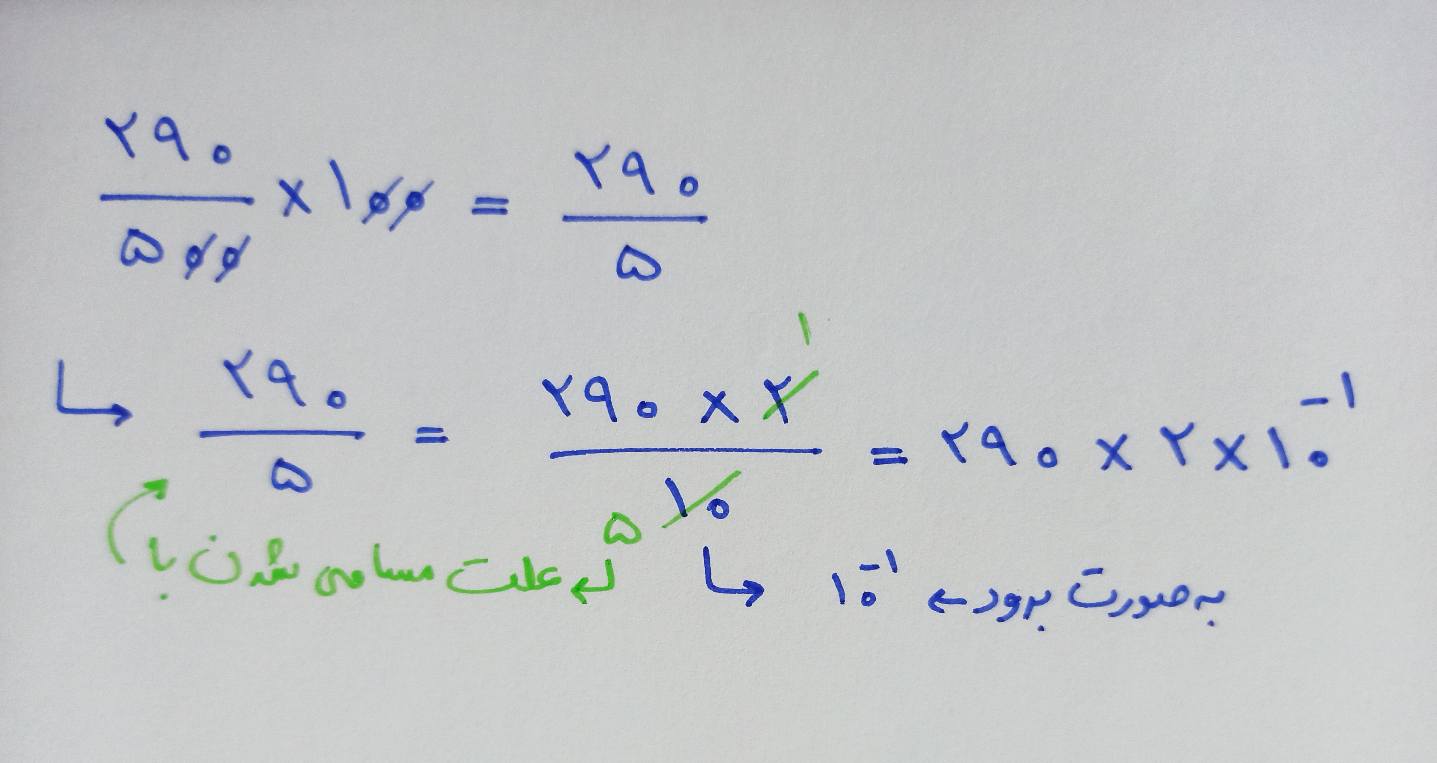
سلام منظور استاد از اینکه جای تقسیم بر 5 ضرب در 2 کنیم چی بود ؟

سلام وقتتون بخیر تو تصویر براتون توضیح دادم ، امیدوارم کمک کرده باشم

Helia Safaie | آکادمی امروز

Helia Safaie

2 سال پیش

@مبینا پناهی ممنون رفیق

(1)

محمد گنجی | آکادمی امروز

محمد گنجی

2 سال پیش

@مبینا پناهی خیلی عالی ولی منطقی نی 😂

سلام وقتتون بخیر تمرین سوم یادبگیریم 1و2 متوجه نشدم اگه امکانش هست برام توضیح بدین

سلام سعی کردم یه جوری بنویسم متوجه بشین :) امیدوارم تونسته باشم کمکتون کنم

(1)

@مبینا کریمی ممنونم ازت عزیزم

(1)

فاطمه فلاح | آکادمی امروز

فاطمه فلاح

3 سال پیش

سلام خیلی عالی بود...

(4)

زینب مقدم | آکادمی امروز

زینب مقدم

tik

3 سال پیش

سلام خوشحالیم لذت بردی✌️🤗