تست11

5/5
(2 رای)
برای مشاهده، ابتدا وارد شوید.
ورود و مشاهده فیلم

مرحله 44

 تست های نیروی کشسانی فنر
تست های نیروی کشسانی فنر

`00:56

تنظیم تنفس یاخته ای، تست ها (بخش اول)
تنظیم تنفس یاخته ای، تست ها (بخش اول)

`00:43

تست ها (بخش دوم)
تست ها (بخش دوم)

`01:02

50 ساعت تدریس کاملا رایگان زیست برای دریافت ویدیو ها شماره ت رو وارد کن
سوالات دیگران

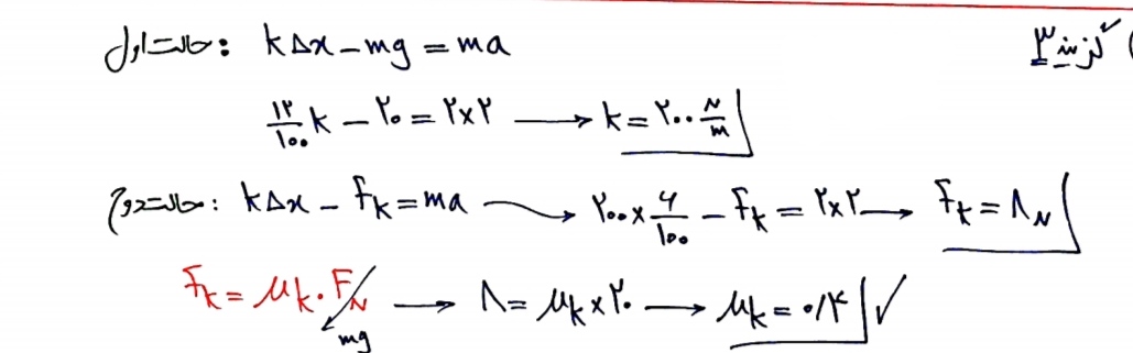
استاد در یاد بگیریم گفتند وقتی طول فنر زیاد میشه و کشیده میشه علامت بین g و a منفیه وقتی که فنر فشرده میشه این علامت مثبته پس چرا اینجا با این که فنر کشیده شده علامت مثبت شده ؟ استاد این سؤال رو اشتباه حل کردن یا اینکه نکته ای که در یادبگیریم گفتن اشتباهه چون آقای رشادی در جواب بچه های دیگه که همین سوال من رو پرسیده بودن وویس گذاشته بودن و گفته بودن وقتی طول فنر زیاد میشه علامت مثبته ولی استاد در یادبگیریم گفته بودن وقتی طول فنر زیاد میشه علامت منفیه ممنون میشم این ابهام رو رفع کنید

اگر ویس ناواضح بود بگید دوباره ضبط کنم ریپلای نکنید 🌷

(1)

علیرضا شیخی | آکادمی امروز

علیرضا شیخی

11 ماه پیش

ای بابا این که نشد پس یجا میگید به طول فنر توجه کن واسه علامت یجا به حرکت اسانسور الان باید چیکار کنیم کاش دقیق تر توضیح میدادید

نرگس مهدوی | آکادمی امروز

نرگس مهدوی

tik

11 ماه پیش

به پاسخ سوال قبلیتون توجه کنین شاید مشکلتون حل بشه

خب اینجا دیگه طول فنر زیاد شده چرا باید مثبت بزاریم تو اون فرمول؟

و طبق این نکتهkبرابر ۴تقسیم بر ۳صربدر ۱۰ بتوان منفی۲ که اگه ور رابطه بزاریمضریب اصطحکلک جنبشی میشه ۰.۲ گزینه۱

زینب مقدم | آکادمی امروز

زینب مقدم

tik

1 سال پیش

سلام اینو ببین💚

(1)

اینجا طول فنر۳۰ به ۴۲ رسیده یعنی کشیده شده وقتی کشیده میشه طبق گفته خود استاد باید علامت بین gوaمنفی باشهlپس باید بگیم وقتی حرکت رو به بالاس حتما شتاب کند شوندس که این علامت منفی شده.منطقی هم هست وقتی جسم به بالا پرتاب میشه سرعت یه لحظه اون بالا صفر میشه دوباره میاد پایین. قبل از اینکه سرعتم صفر بشه حرکت کند شونده بعد تند شونده است

توضیحی که اینجا به دوستتون دادم رو چک کنید ببینید اوکی میشه یا نه https://emrooz.ir/cbgstbc-51140?comment_id=500275#comment-500275

(1)

@سید محمد متین رشادی پس کلا این نکته رو که هرجا فنر کشیده شد علامت منفی و هر وقت جمع شد مثبت رو بزاریم کنار همیشه صدق نمیکند

سلام متوجه نشدم که چرا Fe برابر با T قرار دادن?!

سلام خب وقتی یه جسمی به یه طناب مثلا وصله و اون طناب هم به سقف آسانسور وصله،وقتی آسانسور حرکت میکنه،اون نیروی کششی که در طناب ایجاد میشه،بهش میگیم T حالا اگر بجای طناب،فنر داشته باشیم،خب قاعدتا همون نیروی کششی به فنر وارد میشه که طبق قرارداد،نیروی کششی فنر رو با Fe نشون میدیم حالا شما اگر دلت خواست با همون T نشون بدی اشکالی ندارد

من الان متوجه نشدم که استاد توی تست های قبل گفتن افزایش طول باشه علامت بین gوa منفی هست ولی اینجا مثبت شده میشه توضیح بدین ؟

(1)

سلام مگ طبق نکته ای ک استاد گفتن در تست قبل که وقتی فنر به حالت افق باشه FN نقش T رو داره پس اینجا FN میشه ۲۴ ،نه ۲۰

جواب به صورت صوتی می باشد:)

(1)

سلام وقت بخیر ببینید یک اشتباهی رخ داده لطفا این موضوع رو به استاد نوری اطلاع بدید تا پاسخ درست بدن همیشه وقتی افزایش طول داریم شتاب به علاوه شتاب گرانش میشه درسته که اینجا نگفته نوع حرکت چیه و میشه تند شونده در نظر گرفت اما وقتی عدد تغییر ظول داده اطلاعات محکم و قابل استناد تری رو به ما داده وقتی خیلی واضح افزایش تغییر طول داریم و میدونیم باید بین a وg باید منفی باشه برای چی باید حدس بزنیم تند شونده بوده حرکت ؟ الان طبق هردو روش جواب در گزینه ها هست لطفا بگید این شبهه رو خود استاد رفع کنن چون مسئله خیلی مهمیه و در خیلی سوال ها این نکته دیده میشه

اوکیه؟

@سید محمد متین رشادی استاد گفته بودن وقتی طول فنر زیاد میشه اون وسط منفیه اینو هم تو یاد بگیریم گفتن هم تو تست 7 همین بخش گفتن

استاد با نکته ای ک گفت هممه مونو کااامل گیج کرد....من ک هررچی تست زدم تا الان پرید...ی نکته ای گفت ک یجا میشه استفاده کرد یجا نمیشه..معلوم نیست شرایط استفاده ازون نکته چیه ک هرجایی نمیشه استفادش کرد...🥲🤐☹️

(3)

استاد گفتن اگه آسانسور رو به بالا تند شونده حرکت کنه طول فنر کمتر میشه و اینجا بیشتر شده نکته اشتباه بوده؟

سلام دوست عزیز>< نکته این هارو لازم نیست حفظ کنید. خودتون رو توی اون شرایط مجسم کنید. وقتی اسانسور تند شونده بره بالا فنر کشیده نمیشه به پایین؟ پس طولش بیشتر میشه =) حالا اگر مایلین نکته رو به من بگید تا ببینم ایا اشتباه لفظی بوده یا بحث دیگه ای بوده =) 💜

(1)

@امیرعباس درویش یزدی استاد گفتند اگر آسانسور تندشونده و رو به بالا حرکت کنه طولش کم میشه و برعکس

@محمد فلاحتی سلام وقت بخیر بله سوال منم هست.اینجا از ۳۰ رسیده به ۴۲ پس افزایش طول داشته خب باید منفی بگذاریم بین gوa؟؟؟؟؟؟

@محمد فلاحتی سلام دوست عزیز>< خب اگر فنری از سقف با یک وزنه متصل بهش اویزون باشه، با حرکت تندشونده رو به بالا نیرو کشش بیشتر میشه ( g+a) پس در نتیجه طول فنر باید زیاد بشه

خب این نکته برای وقتی بود که فنر به سقف آویزون باشه من فکر میکنم که وزنه در کف آسانسور قرار گرفته و فنر به حالت قائم به آن وصله