یادبگیریم4: تیغه متوازی السطوح و منشور

برای مشاهده، ابتدا وارد شوید.
ورود و مشاهده فیلم

مرحله 67

شکست موج و قوانین آن
شکست موج و قوانین آن

`00:52

مسائل شکست موج + تیغه متوازی السطوح و منشور
مسائل شکست موج + تیغه متوازی السطوح و منشور

`00:29

قضیه تالس
قضیه تالس

`00:38

50 ساعت تدریس کاملا رایگان زیست برای دریافت ویدیو ها شماره ت رو وارد کن
سوالات دیگران

من اومده بودم کامنتارو بخونم چرا هیچ کس بهش بر نخورده 😂😂

اگر سوال یا ابهامی از محتوای تدریس بود،حتما بگید تا پاسخ بدیم 🌷 ریپلای نباشه 🌷

J J | آکادمی امروز

J J

8 ماه پیش

چون همه پرسپولیسی ان

(1)

نرگس بدری | آکادمی امروز

نرگس بدری

9 ماه پیش

سلام مورد ت چرا غلط هست ? دقیقه ۱۹:۵۴

سلام اینجا ت نداشتیم کدوم رو میگید؟ کامنت بذارید مجدد بهم بگید ریپلای نباشه 🌷

خیلی خوشحالم که استاد استقلالی نیستن😂😂😂

(1)

من این قسمت رو متوجه نشدم

(1)

سلام میشه این مورد رو توضیح بدید؟

نرگس مهدوی | آکادمی امروز

نرگس مهدوی

tik

11 ماه پیش

سلام در مورد سراب در خشکی که تقریبا واضحه و همه احساسش کردن اما برای اینکه پدیده سراب توی تو محل های سرد برات قابل لمس باشه چند تا عکس برات میفرستم

نرگس مهدوی | آکادمی امروز

نرگس مهدوی

tik

11 ماه پیش

جواب به صورت صوتی می باشد:)

نرگس مهدوی | آکادمی امروز

نرگس مهدوی

tik

11 ماه پیش

جواب به صورت صوتی می باشد:)

سلام ببخشید مورد ب رو میشه توضیح بدین؟😕 متوجه نمیشم

زینب مقدم | آکادمی امروز

زینب مقدم

tik

1 سال پیش

سلام وویس

(1)

@زینب مقدم ممنونم ممکنه با ضریب شکست توضیح بدین که چرا همچین استدلالی داریم؟

سلام میشه این مثال و توضیح بدید که چرا همه ی شکلا نادرست ان؟

سلام وقت بخیر یادبگیریم دوم .... قسمت ج زاویه انحراف رو چجوری باید بررسی کنیم که کوچکتره یا بزرگتر؟؟؟ قسمت ه اگه با طول موج بررسیش کنیم که کمتر میشه؟ توضیحش میدین قسمت و مگه هر دوتاش برای رنگ های مختلف متفاوت نیست؟چجوری بین اینا مقایسه انجام داده؟

زهرا عتبی | آکادمی امروز

زهرا عتبی

1 سال پیش

گزینه و خب طول موجشون هم متفاوته..

زهرا عتبی | آکادمی امروز

زهرا عتبی

1 سال پیش

گزینه ه رو پاسخنامه درست گرفته.. غلطه نه؟

زهرا عتبی | آکادمی امروز

زهرا عتبی

1 سال پیش

ببخشید بیشتر گرفته*

چراnهر محیط به طول موج بستگی داره اما به تندی نه؟

این جمله رو استاد کدوم قسمت فیلم گفتن؟ چون اصولاً n به هر دوستای اینا مربوطه

زهرا عتبی | آکادمی امروز

زهرا عتبی

1 سال پیش

چی یاد گرفتی ۲ گزینه ب رو میشه توضیح بدید

چطوری بفهمیم n1بیشتر از ۳؟

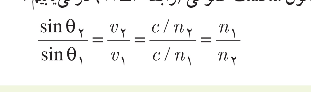
طبق این بخش از کتاب درسی،میزان n برای هر محیط با سینوس زاویه ای که پرتو الکترومغناطیس با خط عمود میسازه،رابطه عکس داره این زاویه(تتا) برای محیط یک برابر با بیست درجه و محیط سه،شصت درجه هست

سلام وقت بخیر میشه این تمرین رو توضیح بدین؟

سلام سوال چی یاد بگیریم هست؟

سحر محسنی | آکادمی امروز

سحر محسنی

1 سال پیش

سلام واسه قسمت الف : طول موج نور در هوا رو داده از طرفی c هم که ثابته و میدونیم چقد میشه از طریق فرمول لاندا برابر است با c به روی f . بسامد رو حساب کن. بسامد واسه دو محیط یکسانه واسه قسمت ج هم که تندی نور در زجاجیه رو خواسته باید ضریب شکست زجاجیه رو داشته باشی اول. پس میری n زجاجیه رو پیدا میکنی از طریق لاندا 2 به روی لاندا 1 برابر است با n1 به روی n2 n هوا که یک هستش n زجاجیه به دست میاد بعد بذارش تو فرمول n برابر است با c به روی v و v یعنی تندی سرعت نور تو زجاجیه رو به دست بیار

سلام چه زمان باید از این فرمول بریم؟