زندگی گروهی، تست ها
`01:18
مسائل الگوهای اتمی و طیف اتمی هیدروژن، تست ها (بخش اول)
`00:57
سؤالات مرتبط به شمارش
`00:54
1 تمرین
تست ها (بخش دوم)
`00:53
سؤالات انتخاب (کیسه و مهره، گویها، کارتها و...)
`00:56
2 تمرین
5+
امروزی هایی که تازه این مبحثو دیدن
حامد ملایی
دوازدهم تجربی - هرمزگان
امیر رضا حیدری
دهم تجربی - کرمانشاه
تینا خزان
دوازدهم تجربی - گیلان
نازنین کاووسی
دوازدهم تجربی - بوشهر
مهسا دولتی ایردموسی
فارغ التحصیل تجربی -
مهیا رحمانی
دوازدهم تجربی - آذربایجان غربی
آسیه ایستگلدی
دوازدهم تجربی - گلستان
زهره یعقوبی
یازدهم تجربی - زنجان
مهسا حتمی
دوازدهم تجربی - آذربایجان شرقی
حنانه غلامی
دهم تجربی - آذربایجان شرقی
= $('#player')[0]?.offsetHeight && openTab == 2 ? scrolledFromTop = true : scrolledFromTop = false">
5+
امروزی هایی که تازه این مبحثو دیدن
حامد ملایی
دوازدهم تجربی - هرمزگان
امیر رضا حیدری
دهم تجربی - کرمانشاه
تینا خزان
دوازدهم تجربی - گیلان
نازنین کاووسی
دوازدهم تجربی - بوشهر
مهسا دولتی ایردموسی
فارغ التحصیل تجربی -
مهیا رحمانی
دوازدهم تجربی - آذربایجان غربی
آسیه ایستگلدی
دوازدهم تجربی - گلستان
زهره یعقوبی
یازدهم تجربی - زنجان
مهسا حتمی
دوازدهم تجربی - آذربایجان شرقی
حنانه غلامی
دهم تجربی - آذربایجان شرقی
زندگی گروهی، تست ها
`01:18
مسائل الگوهای اتمی و طیف اتمی هیدروژن، تست ها (بخش اول)
`00:57
سؤالات مرتبط به شمارش
`00:54
1 تمرین
تست ها (بخش دوم)
`00:53
سؤالات انتخاب (کیسه و مهره، گویها، کارتها و...)
`00:56
2 تمرین
فاطمه رحیمی نسب
2 سال پیش
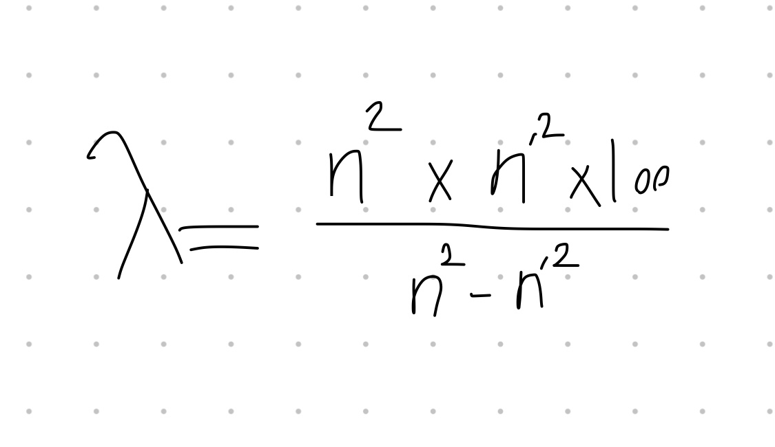
سلام عزیزم:) بر اساس رابطه ای که وجود داره و استاد گفتن، (عکس رابطه رو برات قرار دادم) میتونی دونه دونه گزینه هارو جایگذاری کنی ببینی توی کدوم گزینه طول موج، همونی میشه که در سوال بدست اوردی.
(1)