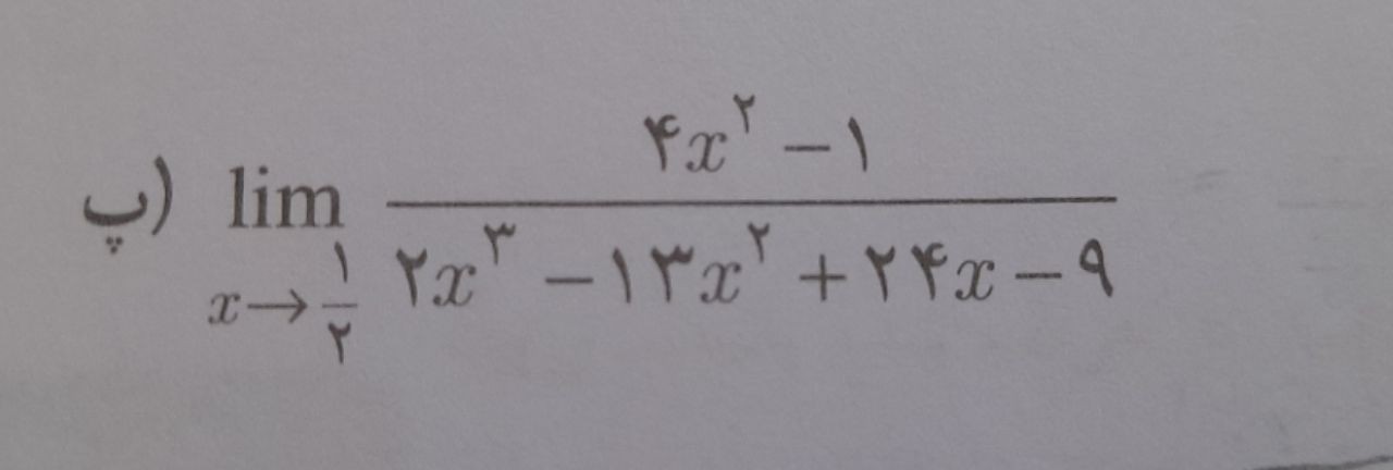
رفع ابهام‌های 0/0 غیر مثلثاتی

4.9/5
(268 رای)

رفع ابهام از حالت مبهم 0/0

رفع ابهام‌های 0/0 غیر مثلثاتی
رفع ابهام‌های 0/0 غیر مثلثاتی

`00:40

تست رفع ابهام های 0/0 غیر مثلثاتی
تست رفع ابهام های 0/0 غیر مثلثاتی

`00:33

1 تمرین

رفع ابهام‌‌های 0/0 مثلثاتی
رفع ابهام‌‌های 0/0 مثلثاتی

`01:06

1 تمرین

سوالات دیگران

سلام میخواستم بگم که در قسمت یاد بگیریم سوال اول که دقیقه 28 و 30 ثانیه هست حد نباید به یک میل کنه تا سوال درست باشه ؟ چون در این صورت هست که باید هوپیتال بزنیم چون صورت ومخرج صفر میشه . ولی اگه به صفر میل کنه که کسر ما صفر بر روی صفر نمیشه

سلام آرمان جان وقت بخیر بله کاملا درست میگی باید به ۱ میل کنه اون قسمت هم اسمش هست چی یاد گرفتی 😅

برلونی برای رشته تجربی هم هست ؟

منظورتون چیه؟ لطفاً تایم مشخص کنید 🌷 ریپلای نباشه 🌷

این سوال چطور حل میشه توضیح کامل بدید لطفا

تو نهایی از هوپیتال میشه استفاده کرد؟ یا از تقسیم باید بریم؟

از هوپیتال نمیشه از سایر روش های در حد کتاب باید استفاده کنید

مثلا روش تجزیه،میشه

جواب حد اگر صفر بشه یعنی حد وجود ندارد؟

اینطور نیست صفر هم یه عددی هست مثل عددهای دیگه همین که حد برابر با یه عددی بشه،یعنی حد داره

ساناز کتی | آکادمی امروز

ساناز کتی

10 ماه پیش

ببخشید میشه چی یاد گرفتی هارو توضیح بدید

مهیار کریمی | آکادمی امروز

مهیار کریمی

10 ماه پیش

اگر زیر رادیکال صفر بشه از hop نمی تونیم استفاده کنیم درسته ؟

نرگس مهدوی | آکادمی امروز

نرگس مهدوی

tik

10 ماه پیش

اره

نرگس مهدوی | آکادمی امروز

نرگس مهدوی

tik

10 ماه پیش

میره تو هوپیتال مخرج رو صفر میکنه

مهیار کریمی | آکادمی امروز

مهیار کریمی

10 ماه پیش

@نرگس مهدوی متوجه منظورتون نمی شم

نرگس مهدوی | آکادمی امروز

نرگس مهدوی

tik

10 ماه پیش

@مهیار کریمی میگم اگه رادیکالی که زیرش صفر میشه رو هوپیتال بزنین باز عامل صفر شونده رو داره

مهیار کریمی | آکادمی امروز

مهیار کریمی

10 ماه پیش

سلام لطف می کنید که سوال دوم چی یادگرفتی رو برایم توضیح دهید

سلام ببین فقط کافیه از یه رادیکال ایکس در صورت و مخرج فاکتور بگیری و سادشون کنی تا عامل صفر کننده صورت و مخرج خط بخوره و بعدش ایکس رو جای‌گذاری کنی تا به جواب برسی دقت کن این یه ابهام صفر صفرم هست و از روش هوپیتال هم در این سوال بدرد نمیخوره

مهسا کاظمی | آکادمی امروز

مهسا کاظمی

11 ماه پیش

سلام وقت بخیر میشه این سوال رو کامل توضیح بدین ؟؟ مخصوصا بخش محاسباتیش که نوشته <حال میتوان نوشت>

سلام اگر X رو صفر بزاریم هم X داخل پرانتز صفر میشه هم X داخل پرانتز استاد چه کردند که X های بیرون پرانتز صفر نشدن و در نهایت داخل صورت -X و داخل مخرج 2X باقی موند ؟

هوپیتال واسه نهایی اوکیه؟

نه متاسفانه 💔

سینا بارانی | آکادمی امروز

سینا بارانی

10 ماه پیش

@سید محمد متین رشادی آدمی که هوپیتال بزنه کنسله🤣

سلام در امتحان نهایی میتونیم از قاعده HOPاستفاده کنیم کارمون راحت بشه؟؟؟؟؟

سلام نه متاسفانه 💔

از قاعده ی هوپیتال توی امتحان نهایی میشه استفاده کرد؟

ببخشید استاد موقع تدریسشون گفتن که اگه بعد از جایگذاری زیر رادیکال صفر بشه حق هوپیتال زدن نداریم باید اول عبارتو از زیر رادیکال در بیاریم بعد هوپیتال بزنیم (البته اون سوالی که خودشون حین توضیح این قضیه حل کردن زیر رادیکالش یه عبارت مربع کامل بود که تونستن از زیر رادیکال درش بیارن ببرن تو قدر مطلق) ولی تو این سوال ما چطور میتونیم ایکس رو از زیر رادیکال در بیاریم که بعدش بتونیم هوپیتال بزنیم؟؟

نرگس مهدوی | آکادمی امروز

نرگس مهدوی

tik

11 ماه پیش

سلام تو این سوالات که صفر عبارت رو تعریف نشده میکنه بهتره اول عبارت رو ساده سازی انجام بدین و عامل صفر کننده رو از بین ببری

سلام،رفع ابهام چطوری کنم؟(تشریحی)

جواب به صورت صوتی می باشد:)

آموزش ویدیویی رفع ابهام‌های 0/0 غیر مثلثاتی ریاضی دوازدهم توسط بهترین اساتید کنکور به همراه جزوه ، تست ، تمرین و رفع اشکال کنکور | کنکور تجربی - آکادمی امروز