طرز تهیه صابون ها

4.9/5
(892 رای)

صابون ها

نحوه انحلال
نحوه انحلال

`01:11

1 تمرین

طرز تهیه صابون ها
طرز تهیه صابون ها

`00:47

1 تمرین

شوینده های غیر صابونی
شوینده های غیر صابونی

`01:06

1 تمرین

50 ساعت تدریس کاملا رایگان زیست برای دریافت ویدیو ها شماره ت رو وارد کن
سوالات دیگران

مسیر عبور نور مشخص نیست یعنی چی؟

اگر ویس ناواضح بود بگید دوباره ضبط کنم 🌷 ریپلای نباشه 🌷

سلام استاد فرق صابون جامد و مایع در چیست بعد چطور توی امتحان تشخیص بدهیم که کدام جامد وکدام مایع است

استاد ببخشید اکسید های گروه یک چیا بودن

اگر ویس ناواضح بود بگید دوباره ضبط کنم 🌷 ریپلای نباشه 🌷

ببخشید مسائل صابون کجاست ؟ توی تست ها هم نبود

از پشتیبانی سوال کنید 🌷

Taha Rashidi | آکادمی امروز

Taha Rashidi

1 ماه پیش

درود اگه گفته بود مخلوط a و b به همراه اب با اضافه کردن cبه یک کلویید تبدیل میشود ، اون موقع جمله درست بود یا نه؟؟!

Zahra =) | آکادمی امروز

Zahra =)

2 هفته پیش

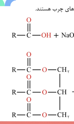
بله چربی‌ها مخلوطی از استر بلند زنجیر و اسیدهای چرب هستند. که میشه a و b که با اضافه کردن صابون به مخلوط چربی و آب یک محلول پایدار ایجاد می‌شه که بهش کلوئید میگن

میتونیم بگیم پایداری مخالف ته نشین شدن هست

ته نشینی و پایداری باهم متفاوته

قسمت د رو توضیح میدید

منظور این قسمت اینه که از ترکیب صابون و استر سنگین با اب یک کلوئید به دست می اید در واقع صابون باعث میشود که ذره های اب و استر سنگین کنار هم نگه داشته بشن همچنین استر سنگین نوعی چربیه و در اب حل نمیشود اما صابون فقط باعث میشه ذره ها کنار هم بمونند اما در هم حل نمی شوند

مائده خیری | آکادمی امروز

مائده خیری

2 ماه پیش

سلام وقت بخیر میشه لطف کنید و این دو جمله که مربوط به تمرین یادبگیریم 2 هست را توضیح بدید ممنونم

silver moon | آکادمی امروز

silver moon

3 ماه پیش

صابون هایی که نمک ها فسفات دارن با کلسیم و منیزم واکنش میدن پس چرا جز پاک کننده های خورنده نیستن؟

سلام فسفاتها (مانند سدیم تریپلی فسفات) به عنوان "نرم کننده آب" یا "سازنده" به مواد شوینده اضافه میشوند. مشکل آب سخت: آب لولهکشی معمولاً حاوی یونهای کلسیم (Ca²⁺) و منیزیم (Mg²⁺) است. این یونها با مولکولهای صابون (نمکهای اسیدهای چرب) ترکیب شده و یک رسوب نامحلول به نام "گل صابون" یا "چرک سنگ" تشکیل میدهند. نتیجه: این رسوب باعث هدر رفتن صابون، کاهش کف، ایجاد لکه روی لباسها و تشکیل لایه ای روی سطوح میشود. کارکرد فسفات: فسفاتها با یونهای کلسیم و منیزیم موجود در آب واکنش داده و کمپلکسهای محلول (یا در برخی موارد، رسوبات بسیار ریز و بیضرر) تشکیل میدهند. بهاینترتیب، این یونهای مزاحم از دسترس مولکولهای صابون خارج میشوند و اجازه میدهند صابون اصلی کار خود را بهطور کامل و بدون تشکیل رسوب انجام دهد. نتیجه کلی: پس بهطور خلاصه، واکنش فسفات با کلسیم و منیزیم یک ویژگی مفید و عملکرد اصلی این نوع شویندهها است، نه یک خاصیت مخرب. به همین دلیل آنها در دستهبندی "پاککنندههای خورنده" قرار نمیگیرند.

silver moon | آکادمی امروز

silver moon

3 ماه پیش

سلام وقتی ذره های سوسپانسیون ریزه چجوری پخش نور داره؟

در یک محلول واقعی (مثل آب قند)، ذرات حل‌شده (مولکول‌های شکر) آنقدر کوچک هستند (در حد یون یا مولکول) که نور را به‌طور قابل‌مشاهده‌ای پخش نمی‌کنند. پرتو نور مستقیماً از میان آن‌ها عبور می‌کند و مسیر آن دیده نمی‌شود. اما در یک سوسپانسیون (مثل مخلوط آب و خاک)، ذرات جامد معلق (مثل ذرات خاک یا گِل) بزرگ‌تر هستند (معمولاً بین ۱ نانومتر تا ۱ میکرومتر). وقتی پرتو نور به این ذرات برخورد می‌کند: پراکندگی: ذرات معلق، فوتون‌های نور را جذب کرده و سپس در تمام جهات دوباره تابش می‌کنند. این فرآیند "پراکندگی" نام دارد. قانون ریلی: برای ذراتی که اندازه آن‌ها از طول موج نور مرئی کوچک‌تر است، این پراکندگی از "قانون ریلی" پیروی می‌کند. بر اساس این قانون، نور با طول موج کوتاه‌تر (مثل آبی و بنفش) بسیار قوی‌تر از نور با طول موج بلندتر (مثل قرمز و نارنجی) پراکنده می‌شود. به همین دلیل است که اغلب وقتی پرتو نور به سوسپانسیون می‌تابد، نور آبی‌رنگی در اطراف ذرات می‌بینیم. (دقیقاً همان پدیده‌ای که باعث آبی به نظر رسیدن آسمان می‌شود!) نتیجه کلی: ذرات ریز سوسپانسیون، فوتون‌های نور را در همه جهات پراکنده می‌کنند و این فرآیند پراکندگی است که باعث می‌شود ما مسیر نور را به صورت "پخش‌شده" ببینیم.

درود بر شما..خسته نباشید من یه چیزی رو هعی قاطی میکنم وقتی میگن...نور رو پخش میکنه...یعنی مسیر یا همون باریکه نور توی ظرفی که توش کلویید یا سوسپانسیون هست مشخصه.. ولی وقتی تو ظرفمون محلول داریم...دیگه اون مسیر نور رو نمیبینیم..درسته؟

سلام حرف شما درست ✅ حالت اول: کلوئید و سوسپانسیون آنچه در علم می‌گویند: "نور را پخش می‌کند." آنچه شما در عمل می‌بینید: مسیر نور (باریکه نور) در داخل ظرف کاملاً مشخص و قابل رؤیت است ✅حالت دوم: محلول واقعی آنچه در علم می‌گویند: "نور را پخش نمی‌کند." آنچه شما در عمل می‌بینید: شما مسیر نور را در داخل ظرف نمی‌بینید. فقط اگر مایع شفاف باشد، نور از آن عبور می‌کند و شما منبع نور یا نور خروجی از طرف دیگر را می‌بینید، اما خود مسیر نور در داخل مایع دیده نمی‌شود

@امیرحسین کاظمان ممنونم ازتون..🙏🙏

سلام مگه یون اکسیژن منفی 2 نیست پس چرا اینجا منفی یک هستش

سلام اکسیژن تو حالت عادی می‌خواد دوتا الکترون بگیره تا بشه آنیون دوبار منفی ولی وقتی یدونه پیوند اشتراکی (با کربن) داده ، یکی از این الکترون ها جبران شده و فقط یه الکترون دیگه لازم داره تا به قاعده ۸ تایی (اوکتت) برسه پس به آنیون یک بار منفی تبدیل می‌شه. (که اینجا در نهایت با سدیم پیوند یونی برقرار می‌کنه و اون یه الکترونشو از از سدیم می‌گیره و جفتشون به قاعده هشت تایی می‌رسن و پایدار می‌شن)

سلام باید چطوری یاد بگیرم

سلام اوکیه؟

۱- حل می شود ۲- کلوئید

تطبیق با پاسخنامه فراموش نشه 🌷

پیوند هیدروژنی واندوالسی و یکی دیگه بود اسمش یادم نی اوضیح میدین اینارو؟

سلام اوکیه؟؟

آموزش ویدیویی طرز تهیه صابون ها شیمی دوازدهم توسط بهترین اساتید کنکور به همراه جزوه ، تست ، تمرین و رفع اشکال کنکور | کنکور تجربی - آکادمی امروز