تست 2

5/5
(6 رای)
برای مشاهده، ابتدا وارد شوید.
ورود و مشاهده فیلم

15 بهمن

حل معادلات شامل عبارات گویا
حل معادلات شامل عبارات گویا

`00:50

2 تمرین

لوله گوارش (قسمت 2)
لوله گوارش (قسمت 2)

`01:28

1 تمرین

50 ساعت تدریس کاملا رایگان زیست برای دریافت ویدیو ها شماره ت رو وارد کن
سوالات دیگران

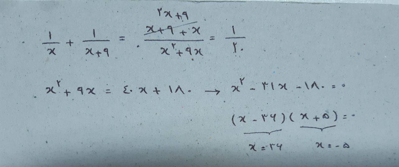
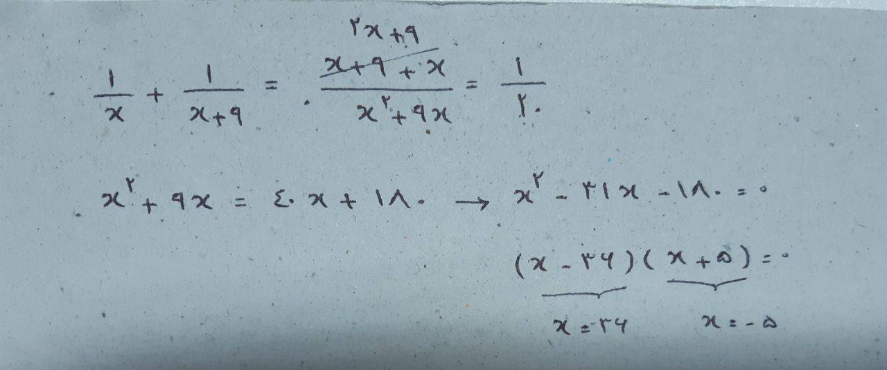
راه حل بدون رد گزینه شو تصویربدین

https://emrooz.ir/cbgstbc-1404?comment_id=566850#comment-566850

سلام...میشه مخرج مشترگ گیرشو بهم توضیح بدین

(1)

رضا آفاقی | آکادمی امروز

رضا آفاقی

2 سال پیش

جواب به صورت صوتی می باشد:)

(1)

(1)

زهرا مند | آکادمی امروز

زهرا مند

9 ماه پیش

@رضا آفاقی سلام میشه بگی اینحا چرا نتونستیم ایکس هارو ساده کنیم

Masoomeh  Nasirian  | آکادمی امروز

Masoomeh Nasirian

2 سال پیش

سلام وقتتون بخیر ببخشد ۸ /۶۰از کجا اورد؟

نرگس رحیمی | آکادمی امروز

نرگس رحیمی

tik

2 سال پیش

جواب به صورت صوتی می باشد:)

Masoomeh  Nasirian  | آکادمی امروز

Masoomeh Nasirian

2 سال پیش

@نرگس رحیمی مرسی🥺❤️

فاطمه اخوت | آکادمی امروز

فاطمه اخوت

3 سال پیش

سلام لطفا حل این سوال ب روش مخرج مشترک گرفتن ب صورت تصویر برامون قرار بدید

نرگس رحیمی | آکادمی امروز

نرگس رحیمی

tik

3 سال پیش

سلام عزیزم بفرمایید .

(3)