تست3

4.7/5
(3 رای)
برای مشاهده، ابتدا وارد شوید.
ورود و مشاهده فیلم

5 فروردین

 تعیین قدرت اسیدی
تعیین قدرت اسیدی

`01:03

1 تمرین

 نکات trnaو ریبوزوم ها و Rrna
نکات trnaو ریبوزوم ها و Rrna

`00:42

1 تمرین

فرمول‌های مشتق
فرمول‌های مشتق

`00:50

50 ساعت تدریس کاملا رایگان زیست برای دریافت ویدیو ها شماره ت رو وارد کن
سوالات دیگران

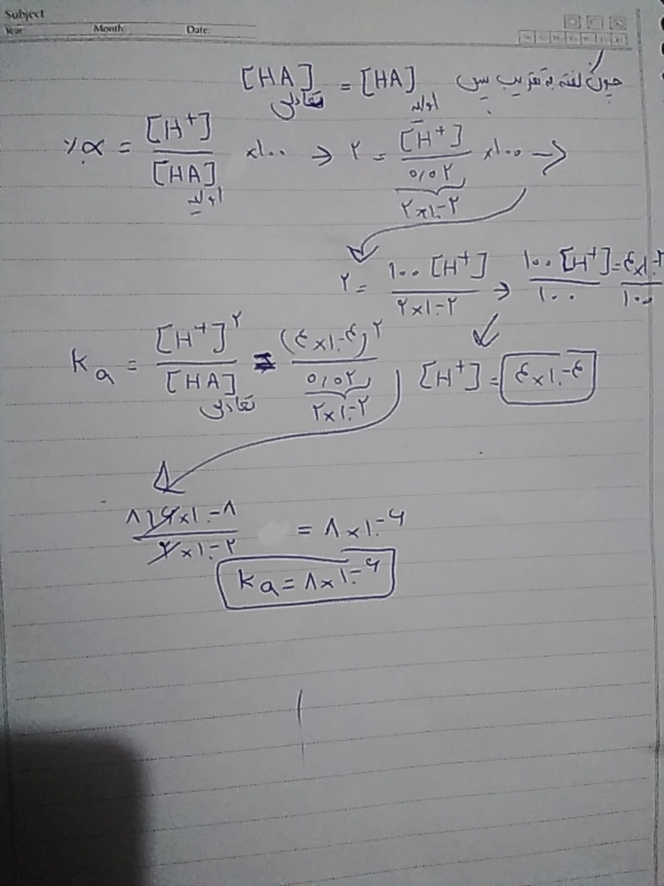
استاد اینجا چه جوری غلظت ابتدایی و تعادلی یکسان گرفت

اگر ویس ناواضح بود بگید دوباره ضبط کنم 🌷 ریپلای نباشه 🌷

میشه این تستو توضیح بدین منم نفهمیدم

سلام میشه این تستو توضیح بدین؟؟ من نفهممیدم..

silver moon | آکادمی امروز

silver moon

3 ماه پیش

استاد گفتن هروقت الفا کوچکتر از 0.05 باشه صرف نظر می کنیم اینجا که نیست!

اوکیه؟

چرا صرف‌نظر شد از مخرج؟

نرگس مهدوی | آکادمی امروز

نرگس مهدوی

tik

7 ماه پیش

چون الفا خیلی کوچیکه عملا یک منها الفا برابر همون ۱ هست که میشه ازش صرف نظر کرد

تست 3 میشه به روش کتابب هم حل کرد ؟ چطور حل میشه

سلام وقت بخیر واسه امتحان نهایی اگر همین روش استاد رو بنویسیم نمره کامل رو میگیریم؟؟! یا باید اثبات این فرمول هم بنویسیم؟؟!

سلام نه متاسفانه این فرمول برای راه تستیه از راه روتینش باید حل کنید برای نهایی

(1)

هستی حسینی | آکادمی امروز

هستی حسینی

2 سال پیش

اینطوری هم میشه؟!

زینب مقدم | آکادمی امروز

زینب مقدم

tik

2 سال پیش

چطوری؟🙃

هستی حسینی | آکادمی امروز

هستی حسینی

2 سال پیش

@زینب مقدم ارسال نمیشه😕

زینب مقدم | آکادمی امروز

زینب مقدم

tik

2 سال پیش

@هستی حسینی به پشتیبانی (گفتگوی آنلاین) حتما پیام بده پیگیری کنن😘 یا اگه میتونی با وویس یا تایپ توضیح بده

(1)

هستی حسینی | آکادمی امروز

هستی حسینی

2 سال پیش

@زینب مقدم باشه حتما❤️

زینب مقدم | آکادمی امروز

زینب مقدم

tik

2 سال پیش

@هستی حسینی ❤️✌️

سلام وقتتون بخیر ببخشید این روش درسته؟

(4)

سلام عزیزم :) بله روشت درسته. ولی بهتره از مسیر کوتاهتر حل کنی.

(1)

.... ..... | آکادمی امروز

.... .....

2 سال پیش

منم از همین روش رفتم

سلام ایا به تقریب در مسایل تعادلی یعنی همیشه اید از مخرج صرف نظر کنیم /

سلام استاد در یادبگیریم گفتند که از آلفا هایی که چشمگیر نیستند صرف نظر میکنیم ، اینجام با توجه به اختلاف گزینه ها و کلمه تقریبا توی سوال از آلفا که 0/02 هست صرف نظر کردیم . حالا اگه دوست داشتید مخرج رو دقیق بنویسید و میبینید که خیلی تفاوتی نداره با حالتی که از آلفا صرف نظر کنیم . هر چقدرم بیشتر تست از این مباحث حل کنید بیشتر متوجه میشید که تو چه سوال هایی باید صرف نظر کرد و تو چه سوال هایی نه .

(5)

دوستت کامل توضیح دادن

(1)