تست8

4.5/5
(2 رای)
برای مشاهده، ابتدا وارد شوید.
ورود و مشاهده فیلم

3 اسفند

نمودار توابع هموگرافیک
نمودار توابع هموگرافیک

`00:31

ورود وخروج مواد از یاخته(قسمت2)+تست
ورود وخروج مواد از یاخته(قسمت2)+تست

`01:27

1 تمرین

نمودار توابع رادیکالی
نمودار توابع رادیکالی

`00:37

1 تمرین

تست مفهوم چگالی
تست مفهوم چگالی

`00:55

1 تمرین

نمودار توابع شامل جزء صحیح
نمودار توابع شامل جزء صحیح

`01:14

2 تمرین

50 ساعت تدریس کاملا رایگان زیست برای دریافت ویدیو ها شماره ت رو وارد کن
سوالات دیگران

ویستون باز نمیشه

اگر منظورتون اینه، من چک کردم مشکلی نداره بنظرم با یک مرورگر دیگه هم مجدد امتحان کنید و یا لینکش رو برای پشتیبانی بفرستید تا راهنمایی کنند 🌷

سلام وقتتون بخیر میشه این سوال رو واضح تر توضیح بدید اصلا من نفهمیدم کجا از حجم حرف زد و اینکه استاد گفتن که مقادیر ثابت رو در مسائل نسبتی نمیاریم اما الان از مقادیر ثابت هم استفاده کردند لطفا یه توضیح بدید

اگر ویس ناواضح بود بگید دوباره ضبط کنم ریپلای نکنید 🌷

غزل فیروزی | آکادمی امروز

غزل فیروزی

1 سال پیش

سلام وقت بخیر جرم و حجم ظاهری یعنی چی

سلام.ببخشید اینجا چرا 1/2a به توان 3 رسید؟

سلام فیلم رو کامل ببینید استاد اصلاحش کردن جلوتر

@سید محمد متین رشادی سلام وقت بخیر ببخشید شما گفته بودید که وقتی مسئله پی رو به ما نداده نباید جای گذاری کنیم ۳ یا ۳/۱۴ ولی اینجا پی رو توی مسئله به ما نداده بود ولی استاد ۳ در نظر گرفتن

@مبینا رازبان سلام وقت بخیر خب اینجا خود متن سوال مقدار پی رو به ما داده من گفتم اگر پی رو به ما نداده بود،حق نداریم سر خود جاش عدد بذاریم

(1)

@سید محمد متین رشادی بله حق با شماست من اصلا اون پی رو ندیدم ببخشید 🤭

🧑‍⚕️ ! | آکادمی امروز

🧑‍⚕️ !

1 سال پیش

@مبینا رازبان خدا نکشتت😁😂

(1)

حنا مرادی | آکادمی امروز

حنا مرادی

2 سال پیش

اگه یه جا نسبت تغییرات شعاع داد ولی قطر خواست اونجا هم باید اون نسبت رو به توان ۳ برسونیم یا نه چون قطر هست دیگه نیازی نیست؟

رضا آفاقی | آکادمی امروز

رضا آفاقی

2 سال پیش

سلام نظر من اینه امیدوارم درست باشه نسبت تغییرات رو که به ما میده یعنی V1تقسیمV2 یا برعکسش دیگه و حالا بسته به شکلی که داریم باید به توان برسه مثلا توی تست 8 به ما نسبت تغییرات قطر رو داده بود اما به توان 3 رسوندیم برا حجم کره

سلام وقت بخیر میشه این سوالو بیششتر توضیح بدین. ممنون

در واقع حجم مخروط میشه یک سوم در مساحت قاعده در ارتفاع که شعاع قاعده و ارتفاع در اینجا برای مخروط،با هم برابر و a هستند که در نهایت a به توان سه در صورت و مخرج ساده میشه

مهدی رحیمی | آکادمی امروز

مهدی رحیمی

2 سال پیش

@سید محمد متین رشادی سلام تمرین یادبگیریم ۱.و۲ تست ۸رومیشه حل کنید بفرستید

@مهدی رحیمی جواب به صورت صوتی می باشد:)

@سید محمد متین رشادی سلام مگه قرار نبود مقادیر ثابت رو در نظر نگیریم میشه یه جمع بندی واسم کنید که دو کدوم تیپ سوالا مقادیر ثابت رو هم در نظر بگیریم ؟؟لطفاً جواب بدین

سلام. توی این سوال نباید مخروط رو ۱ در نظر گرفت؟ چون رُو۱ رو برای مخروط داده. در نهایت هم جواب یک چهارم به دست میاد.

(1)

جواب به صورت صوتی می باشد:)

سلام خسته نباشید یک نکته ای رو استاد قبلاً گفته بودند این بود که مقادیر ثابت در فرمول های نسبتی به کار برده نمیشه پس چرا توی این سوال در قسمت مخرج در فرمول مخروط ، مقادیر ثابت استفاده شده ؟

سلام عزیزم:) این برای زمانی هست که در حالت نسبتی، یک فرمول بکار میره. مثلا نسبت حجم دو تا مخروط یا نسبت حجم دو تا کره. چون مقادیر ثابت جفتشون مثل همه و از صورت و مخرج ساده میشه. ولی در اینجا یکی از حجم ها مکعبه یکی دیگه مخروطه پس باید مقادیر ثابت رو هم بذاریم. چون این مقدار ثابتی که توی فرمول مخروط هست توی فرمول مکعب نیست که با هم ساده شن. پس باید نوشته شه.

انصافا سخت بود

(2)

کیمیا فتحی | آکادمی امروز

کیمیا فتحی

2 سال پیش

موافقم

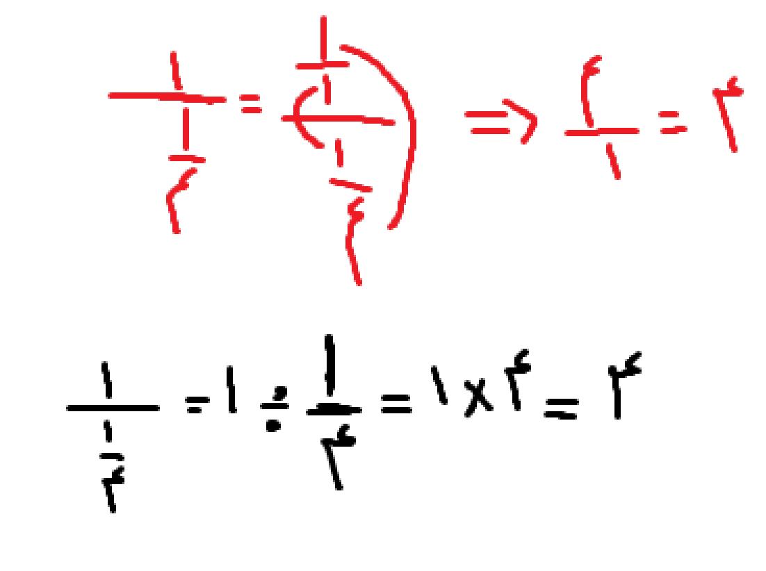
یک ب روی یک چهارم چطور میشه ۴؟

سلام دوست عزیز>< پاسخ رو به دو شیوه در قالب تصویر براتون ارسال کردم؛ اگر ابهامی داشتید بپرسید تا راهنماییتون کنم

کیمیا فتحی | آکادمی امروز

کیمیا فتحی

2 سال پیش

بفرمایید عزیزم :)

قربانی ؛ | آکادمی امروز

قربانی ؛

3 سال پیش

کلا نفهمیدم چیشد یکم گسترده تر لطف میکنین توضیح بدین:)؟

سلام دوست عزیز>< دوباره ویدیو رو مشاهده کنین؛ خودتون کلنجار برید اگر باز جاییش رو متوجه نشدید بفرمایید تا راهنماییتون کنم =)

ببخشید به جای aعدد گذاری کردم درسته؟

سلام دوست عزیز>< عددگذاری هم هیچ مشکلی نداره؛ ولی حتما روش پارامتری رو بهش عادت کنید و یادش بگیرید =)

کیمیا فتحی | آکادمی امروز

کیمیا فتحی

2 سال پیش

درسته اما تو کنکور به مشکل برمیخورید پس سعی کنین به صورت پارامتری هم انجام بدین

چرا استاد در دقیقه گفت 1 دوم a رو به توان 3 برسونیم

سلام دوست عزیز>< فرمول حجم مخروط هستش 1/3پی ار به توان دو در ارتفاع مخروط که استاد سهوا توان 3 گذاشتن. باز ابهامی هست بپرسید =)

(1)

(1)

Marzieh ... | آکادمی امروز

Marzieh ...

3 سال پیش

اگه تو سؤالی نگفته باشه مکعب مستطیله یا مربع ما خودمون برا راحتی مربع میگیریم یا فرق نداره؟

(1)

سلام دوست عزیز>< وقتی گفته نمیشه منظور مربع هست

(1)

کیمیا فتحی | آکادمی امروز

کیمیا فتحی

2 سال پیش

سلام خب ببین وقتی نگفته و فقط گفته مکعب منظور مکعب مربع هستش و فرق داره جوابمون:)

لیدا محمدی | آکادمی امروز

لیدا محمدی

3 سال پیش

میشه بجای v2 ب v1 دو یکم بنویسم بعد ب توان 2 برسونیم ک جواب میشه 4 برای همه ی موارد اینچنینی صادقه؟؟

(1)

سلام عزیزم:) نه باید به رابطه ی حجم توجه کنی. و فرمول حجم رو جایگذاری کنی و ساده سازی انجام بدی

(1)