تست5

برای مشاهده، ابتدا وارد شوید.
ورود و مشاهده فیلم

19 شهریور

تعداد کروموزوم ها + مجموعه های کروموزومی
تعداد کروموزوم ها + مجموعه های کروموزومی

`01:14

 مفهوم توان الکتریکی + توان الکتریکی درمقاومت
مفهوم توان الکتریکی + توان الکتریکی درمقاومت

`00:59

 آلدهیدها و کتون ها
آلدهیدها و کتون ها

`00:37

1 تمرین

 اسیدها و استرها
اسیدها و استرها

`01:03

1 تمرین

تعیین عدد کروموزومی یاخته
تعیین عدد کروموزومی یاخته

`00:25

1 تمرین

 تست مسائل توان مصرفی مقاومت (1)
تست مسائل توان مصرفی مقاومت (1)

`00:59

50 ساعت تدریس کاملا رایگان زیست برای دریافت ویدیو ها شماره ت رو وارد کن
سوالات دیگران

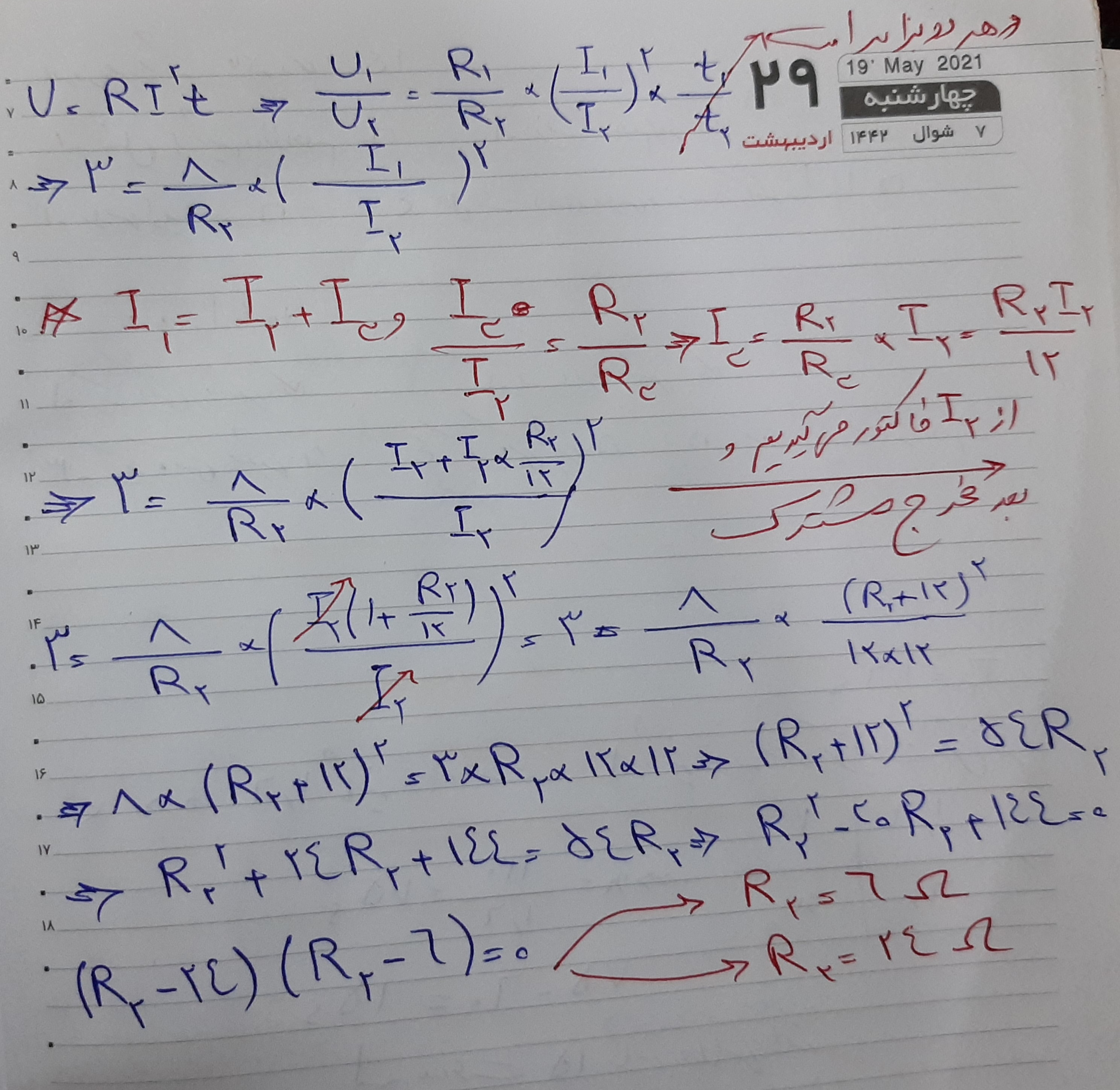
سلام وقت بخیر ببخشید اینجا استاد 24 رو جایگذاری کردند وچون 24 بزرگتر بود جریانش رو گرفتند x و پایینی چون کوچکتر بود شد 2x حالا اگر بیایم به جای 24 عدد 12 بگذاریم جفت مقاومت ها برابر میشوند در این صورت جفت جریان x میشند؟ و اون جریان کل 2x؟

من با این روش رفتم به جواب رسیدم . راه حل درستیه؟

p z | آکادمی امروز

p z

1 سال پیش

ببخشید شما اینجا نوشتید v به توان 2 ثابت هست چون مقاومت r2 و r3 به صورت موازی بسته شدن این نتیجه رو گرفتید؟؟

@p z آره 👍

(1)

V ثابت نیست

@امیر مهدی زاهدی چرا؟ من فکر میکردم در اون بازه ی زمانی معین V ثابته

@فاطمه حسن زاده درسته حواسم نبود، V ثابته👍

(1)

@فاطمه حسن زاده درسته رفیق از تست گزینه خیلی بهتره

(1)

Reyhan V | آکادمی امروز

Reyhan V

11 ماه پیش

میشه روش رو‌توضیح بدی؟

میتونیم اینجور بگیم که در مدار های موازی هرچه مقاومت بیشتر باشه توان هم بیشتره بیشتره پس وقتی y1=3y2پس مقاومت R2=3R1?

جواب به صورت صوتی می باشد:)

(1)

@سید محمد متین رشادی اره ببخشید با سری اشتباه گرفتم یه لحظه:/ خیلی ممنون از توضیح✨

راه تشریحیش اینجوریه :

(6)

سلام رفیق.منم ازهمین روش بدست آوردم یکم طولانی شد برامنم ....روش استادم خوبه براکنکوروتست

AM .S | آکادمی امروز

AM .S

2 سال پیش

سلام.یه سری حل تشریحی می خواستید.حل تشریحیشو گذاشتم.بعضی وقتا استاد میگن عدد گذاری واقعا درست میگن حل این سوال به روش تشریحی هم زمانگیر و هم احتمال اشتباه محاسباتی داره واقعاً به روش تشریحی خیلی جالب حل شد.حتما نگاه کنید گاهی وقتا عدد گذاری روش خوبی نیس اما این سوال فقط عدد گذاری.

(1)

آیا درسته😂🥲🧐

زهرا عتبی | آکادمی امروز

زهرا عتبی

2 سال پیش

:)

(1)

سلام منم از نسبت استفاده کردم جوابم همین شد

سلام وقتتون بخیر خسته نباشید ممکنه لطفا راه تشریحی این تست رو به من توضیح بدین ؟ (منظورم راهی هست که از گزینه ها استفاده نکنیم)

سلام دوست عزیز>< من خودم روش تشریحی براش به ذهنم نیومد جایی هم ندیدم باشه هم قطعا *نباید* ازش استفاده کنید چون خیلی خیلی سخت میشه راه. باز اگر تمایل داشتید من با کارشناس هامون به اشتراک میزارم، ببینم نظر اون ها چیه =)

(1)

@امیرعباس درویش یزدی بله درسته نه من خودمم سوال رو با گزینه ها حل کردم فقط چون راهی به ذهنم نرسید پرسیدم ممنون میشم اگه راهی پیدا کردین بهم بگین

(1)

@امیرعباس درویش یزدی سلام من خودم راه تشریحی رفتم معادله خیلی طولانی میشه اونم با سه مجهول اگه حداقل یکی از جریان هارو میداد میشد یه کاری کرد

AM .S | آکادمی امروز

AM .S

2 سال پیش

@مهرانه بابایی با سه معادله به جواب هم رسیدی؟