تست6

4.9/5
(29 رای)
برای مشاهده، ابتدا وارد شوید.
ورود و مشاهده فیلم

مرحله ۳۹

مجموعه‌های متناهی و نامتناهی
مجموعه‌های متناهی و نامتناهی

`01:22

2 تمرین

قطبیت مواد
قطبیت مواد

`00:30

1 تمرین

گرما(بدون تغییر حالت)
گرما(بدون تغییر حالت)

`01:30

1 تمرین

50 ساعت تدریس کاملا رایگان زیست برای دریافت ویدیو ها شماره ت رو وارد کن
سوالات دیگران
..  . | آکادمی امروز

.. .

5 ماه پیش

سلام ببخشید تو این سوال چرا گرمایی که تلف شده روبراش منفی نذاشتیم؟

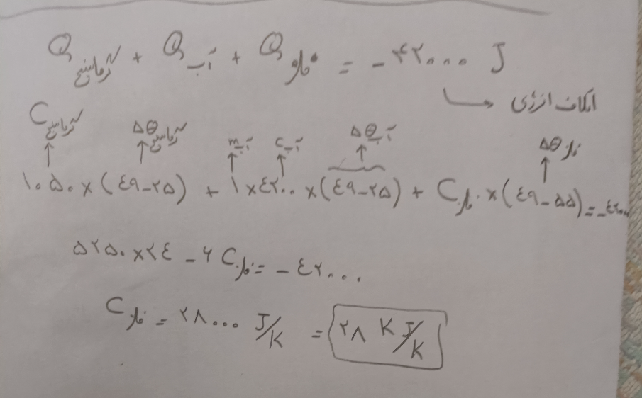
چرا باید 420 را ساده کنیم مگه تقسیمه!!؟

اگر ویس ناواضح بود بگید دوباره ضبط کنم🌷ریپلای نباشه🌷

میشه اینو توضیح بدین

بفرمایید اگر بازم سوالی بود مطرح کنید 🌷 ریپلای نباشه 🌷

(1)

ممنونم استاد اگه میشه این سوال هفت رو تو ویس هم توضیح بدین ممنون میشم

اگر ویس ناواضح بود بگید دوباره ضبط کنم ریپلای نکنید 🌷 خواهش میکنم 🌷

سوال 7 رو توضیح بدید لطفاً

بفرمایید جایی اگر ابهام بود بگید توضیح بدم ریپلای نکنید 🌷

سوال 7 رو متوجه نمیشم لطفا اگه میشه توضیح بدید

اگر منظورتون همون قبلی هست،روی کاغذ توضیح دادم اگر سوال دیگه ای هست،بفرمایید 🌷 لطفا ریپلای نکنید 🌷

فاطمه صوفی | آکادمی امروز

فاطمه صوفی

10 ماه پیش

مگه فاکتور گیری نکرد چرا 420 رو کلا گذاشت کنار مگه نباید ضرب بشه

سلام بهتر بود این تست رو توی بخش تعادل گرمایی میزاشتین نه اینجا که هنوز تدریس نشده

زینب مقدم | آکادمی امروز

زینب مقدم

tik

1 سال پیش

سلام اره مرسی از کامنتت

(2)

سلام وقتتون بخیر تمرین سوال چهارم رو میشه برام توضیح بدین؟ ممنون میشم

زینب مقدم | آکادمی امروز

زینب مقدم

tik

1 سال پیش

سلام

(1)

نفس ‌ | آکادمی امروز

نفس ‌

1 سال پیش

سلام ویدیوی تست ۷ نیست میشه لینکشو بزارید

سلام https://emrooz.ir/cbgstbc-60826

سلام استاد در اینجا 420 رو چجوری خط زدن؟

جواب به صورت صوتی می باشد:)

تو سوال گفته شده دمای تعادل مجموعه اگر حرفی از مجموعه زده نمی شد تتا2 همه یکسان نبود؟

سلام وقتت بخیر✨ معمولا میگه وقتی گفته گرماسنج ، شما بدونید ک جمع جبری باید بزنید؛ اما اگر دمای تعادل مجموعه رو نگفته بود اطلاعات دیگه ای بهتون میده ک بتونید سوال رو حل کنید

(1)

سلام میشه سوال تمرین ۴ رو توضیح بدین ؟

جواب به صورت صوتی می باشد:)

علی باقری | آکادمی امروز

علی باقری

2 سال پیش

سلام لطفا حل این سوال رو توضیح بدید؟

سلام راه حل رو ببینید هر جا رو نفهمیدید بگید

‌سلام ببخشید میشه این سوالو توضیح بدین

سلام عزیزم لطفا سوالت رو زیر ویدئو مربوط به سوالت بپرس تا بتونم دقیقتر راهنماییت کنم🌻