تست13

4.7/5
(12 رای)
برای مشاهده، ابتدا وارد شوید.
ورود و مشاهده فیلم

مرحله 20

 یافتن ضابطه تابع وارون
یافتن ضابطه تابع وارون

`01:10

1 تمرین

مسائل و تست های PH(قسمت سوم)
مسائل و تست های PH(قسمت سوم)

`01:34

1 تمرین

تنظیم بیان ژن در یوکاریوت ها
تنظیم بیان ژن در یوکاریوت ها

`00:48

1 تمرین

50 ساعت تدریس کاملا رایگان زیست برای دریافت ویدیو ها شماره ت رو وارد کن
سوالات دیگران

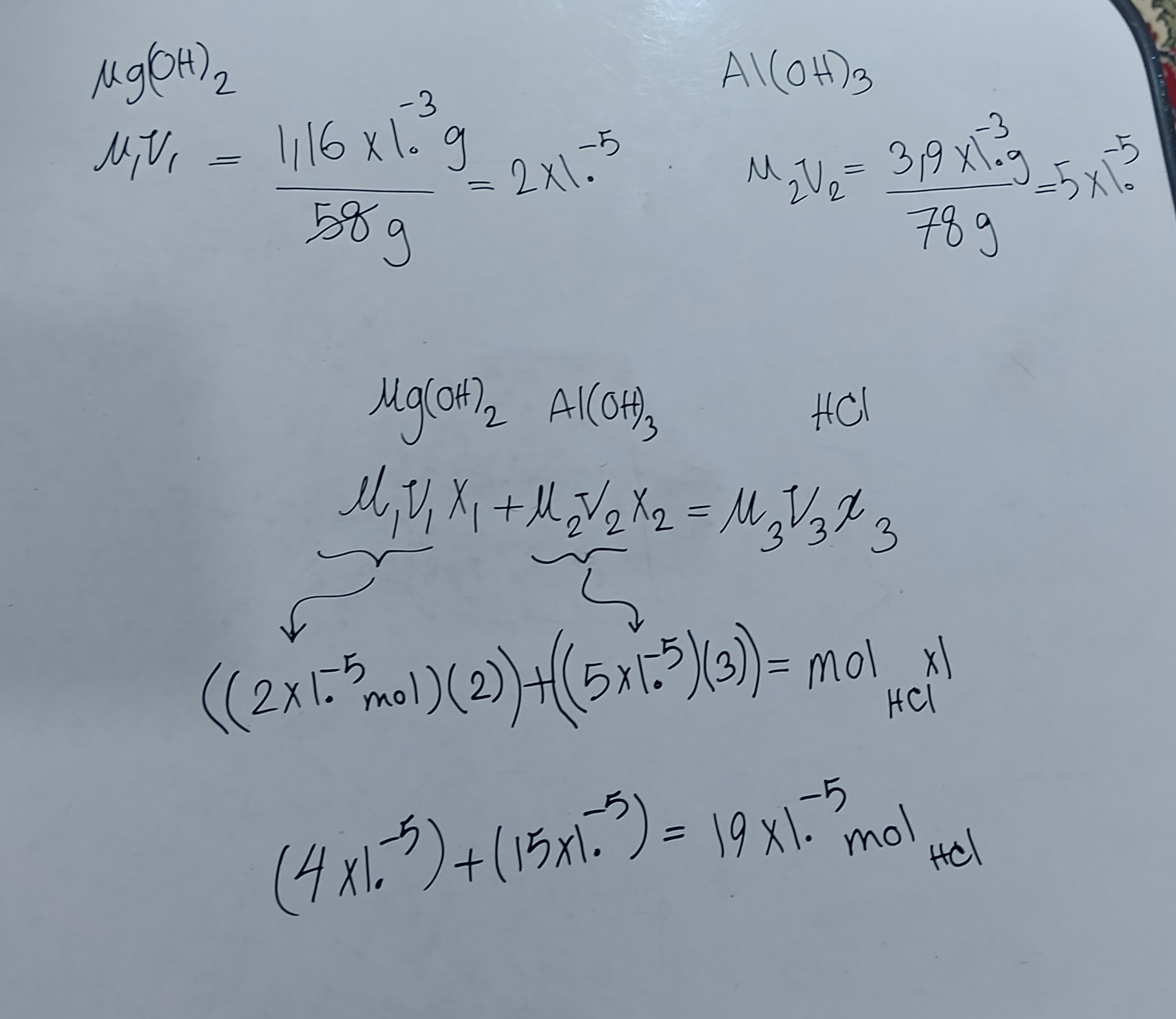
سلام میتونیم مول منیزیم هیدروکسید و آلومینیوم هیدروکسید رو حساب کنیم بعد فرمول واکنش خنثی شدن رو بنویسیم؟

سلام اینجا چطور 15 شدنفهمیدم ؟

نرگس مهدوی | آکادمی امروز

نرگس مهدوی

tik

10 ماه پیش

سلام از واکنش دوم بدستش اوردیم یعنی گفتیم که فرد ۳.۹ میلی گرم الومینیوم هیدروکسید مصرف میکنه، پس این الومنیوم هیدروکسید چقدر هیدروکلریدریک اسید رو خنثی میکنه؟ میشه ۱۵ ضربدر ۱۰ به توان منفی ۱۵ مول Hcl

سلام چرا وقتی میتونیم ph دقیق رو بدست بیاریم از ما تقریبی میگین حساب کنیم به نظرم این سوالات ایراد دارن لطفا رسیدگی کنین خود استاد هم گفت این حرفو

سلام بله درسته اینجا نباید بگه حدودا ولی دقیقش رو حساب کنیم میشه ۷/۳ که اصولاً باید بذار توی گزینه ها ولی حالا که نذاشته،ما اگه سر امتحان باشیم،اونی رو می‌زنیم که بهش نزدیک تره (چون گفته حدودا)

سلام لطفا به روش M1.V1.X1=M2.V2.X2 + M3.V3.X3 برام حل کنید

(1)

maryam chaghaei | آکادمی امروز

maryam chaghaei

2 سال پیش

سلام :) از اونجا که مول HCl بدست میاد هم که دیگه مثلِ حلِ استاد :)

(4)

.... ..... | آکادمی امروز

.... .....

1 سال پیش

@maryam chaghaei چه خط باحالی داری رفیق! D:

(3)

maryam chaghaei | آکادمی امروز

maryam chaghaei

1 سال پیش

@.... ..... لطف داری😅

(1)

سلام لطفا به روش M1.V1.X1=M2.V2.X2 + M3.V3.X3 برام حل کنید

(1)

سوال اش خیلی قشنگه وترکیبی بنظرم خیلی احتمال اش زیاده دوباره مطرح اش بشه یکمی باایده خلاقانه تر.چون کنکور بیشتر به این سمت داره میره

(2)

سلام وقت بخیر ببخشید من از M1.V1.X1=M2.V2.X2 + M3.V3.X3 رفتم از این هم درسته؟

(1)

سلام وقت بخیر توتمرین ها تمرین ۱۰ میشه بهم توضیح بدین اصلا متوجه نمیشم🙏🏻

سلام منظورتون کدوم تمرین ۱۰ هست؟

@نسیم جاودانی تمرین یاد بگیریم که اخر تست ها قرار داده شده

@حنانه یارمحمدی جواب به صورت صوتی می باشد:)

رعنا نجات | آکادمی امروز

رعنا نجات

2 سال پیش

استاد چرا مول HCl رو محاسبه کردن در صورتی که سوال نمیخواستش؟

سلام دوست عزیز شیره ی معده همون HCl هست

سلام ببخشید سوال ۶ تمرین قسمت دومش و اینکه چطور نتیجه گرفت محلول خنثی هستش رو میشه توضیح بدید

(1)

زینب مقدم | آکادمی امروز

زینب مقدم

tik

2 سال پیش

سلام وویس

(1)

کوثر   معتقد  | آکادمی امروز

کوثر معتقد

3 سال پیش

سلام میشه سوال 10 تمرین یادبگیریم همین قسمتو توضیح بدین

اول باید از Ph محلول HA، غلظت H+ رو پیدا کنیم. باتوجه به اینکه گفته غلظت یون هیدرونیوم محلول بازی H‏O‏B‏، ۲/۵ ضربدر ۱۰ بتوان ۵- برابر غلظت یون هیدرونیوم در محلول اسیدی A‏H‏ هست، غلظت یون هیدرونیوم محلول BOH رو محاسبه می‌کنیم. وقتی BOH در آب حل شه، OH- آزاد میکنه، پس باتوجه به قاعده H+][OH-]] مساویست با ۱۰ بتوان ۱۴-، غلظت OH- رو حساب می‌کنیم. درجه یونش BOH یک‌دهمه. یعنی یک‌دهم BOH حل‌شده یونیده شده و OH- آزاد کرده. باتوجه به این‌نکته، غلظت BOH رو حساب می‌کنیم. بعد هم با کسر زیر، مقدار HBr رو حساب می‌کنیم.