تست17

4.9/5
(8 رای)
برای مشاهده، ابتدا وارد شوید.
ورود و مشاهده فیلم

مرحله 25

 زوایای قرینه،متمم و مکمل
زوایای قرینه،متمم و مکمل

`00:30

1 تمرین

تست های عدداکسایش
تست های عدداکسایش

`00:43

1 تمرین

 نمونه های آمیزش، تلفیق صفات مستقل از جنس و صفات وابسته به هم
نمونه های آمیزش، تلفیق صفات مستقل از جنس و صفات وابسته به هم

`01:19

تست های نمودار سرعت_زمان
تست های نمودار سرعت_زمان

`01:33

50 ساعت تدریس کاملا رایگان زیست برای دریافت ویدیو ها شماره ت رو وارد کن
سوالات دیگران

چه تست زمانبری!

با تمرین و تست زیاد،سرعتتون بیشتر میشه 🌷 استاد چون با حزئیات توضیح میدن زمانبر شد وگرنه خودتون فقط کافیه مساحت نمودار رو در دو تا پانزده ثانیه حساب کنید و با مکان اولیه در لحظه دو جمع کنید زیر یک دقیقه

سلام وقت بخیر چرا جوابش با معادله مکان زمان درنمیاد

اونم درسته ولی خیلی سخت میشه معادله مکان زمانش درجه دو میشه ور در بازه های زمانی مختلف هم متفاوت میشه احتمالا یجا رو اشتباه کردید و این روش رو اصلا پیشنهاد نمیکنم

فاطمه فلاح | آکادمی امروز

فاطمه فلاح

1 سال پیش

سلام من این تیکه رو متوجه نشدم

نرگس مهدوی | آکادمی امروز

نرگس مهدوی

tik

1 سال پیش

سلام چه زمانی؟

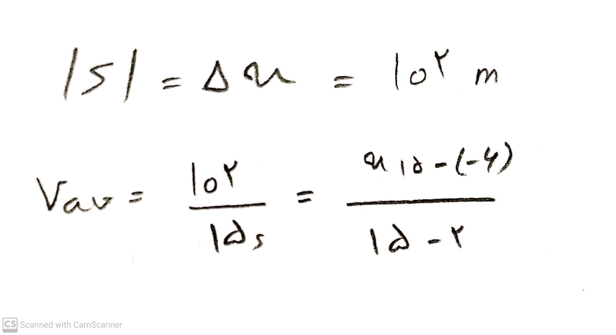
سلام خوبین من در این حد میتونم بگم که بجای یک به یک انجام دادن میریم کلو میگیریم یعنی دلتا ایکس کل که برابر ۱۰۲ میشه و مکان اولیه که -۹ است پس مکان ثانیه ۱۵ میشه ۹۳ فکر کنم اینجوری راحت باشه🙂

(1)

سلام عزیزم بله کاملا درسته

سلم رفیق میشه راه حلت رو روی کاغذ توضیح بدی . ممنون میشم

من اصلا این تست رو متوجه نشدم

زینب مقدم | آکادمی امروز

زینب مقدم

tik

1 سال پیش

سلام

قرار نیس ک استاد هر سوالی رو نیم ساعت کش بدن سر جلسه جنگ جنگ زمان.. کاش استاد ب جا این همه فرمول کش دادن یه راه حل تستی بگن

(1)

لادن مهدوی | آکادمی امروز

لادن مهدوی

2 سال پیش

سلام تست ۱۷ راه حل کوتاه تری ندارد ?

جواب به صورت صوتی می باشد:)

الهه اکبری | آکادمی امروز

الهه اکبری

2 سال پیش

سلام اگر بخوایم سرعت 2s رو از فرمول سرعت متوسط بدست بیاریم،نباید-۶ رو توی صورت بذاریم؟که خب اینطوری سرعت منفی در میاد اماچیزی که توی نمودار میبینیم مثبته :/

جواب به صورت صوتی می باشد:)

(1)

سلام وقت تون بخیر راه حل کوتاه تری برای این تست وجود داره ؟

برای اینکه مساحت کل رو بدست بیارید یه مثلث قائم الزاویه از صفر تا هشت ثانیه دارید یه مستطیل از هشت تا پانزده ثانیه و یه مثلث قائم الزاویه کوچکتر هم از هشت تا دوازده ثانیه تقریبا راه کوتاهتر از این نیست

(2)

@سید محمد متین رشادی ممنون از راهنمایی تون

ABOLFAZL Hendevani | آکادمی امروز

ABOLFAZL Hendevani

2 سال پیش

@سید محمد متین رشادی سلام وقت بخیر منم دقیقا همین راه رو رفتم

من از محور طلایی استفاده کردم اگه خواستید امتحان کنید بچه ها

(1)

رعنا نجات | آکادمی امروز

رعنا نجات

3 سال پیش

همونی که زیر محور t و روی محور V بود...

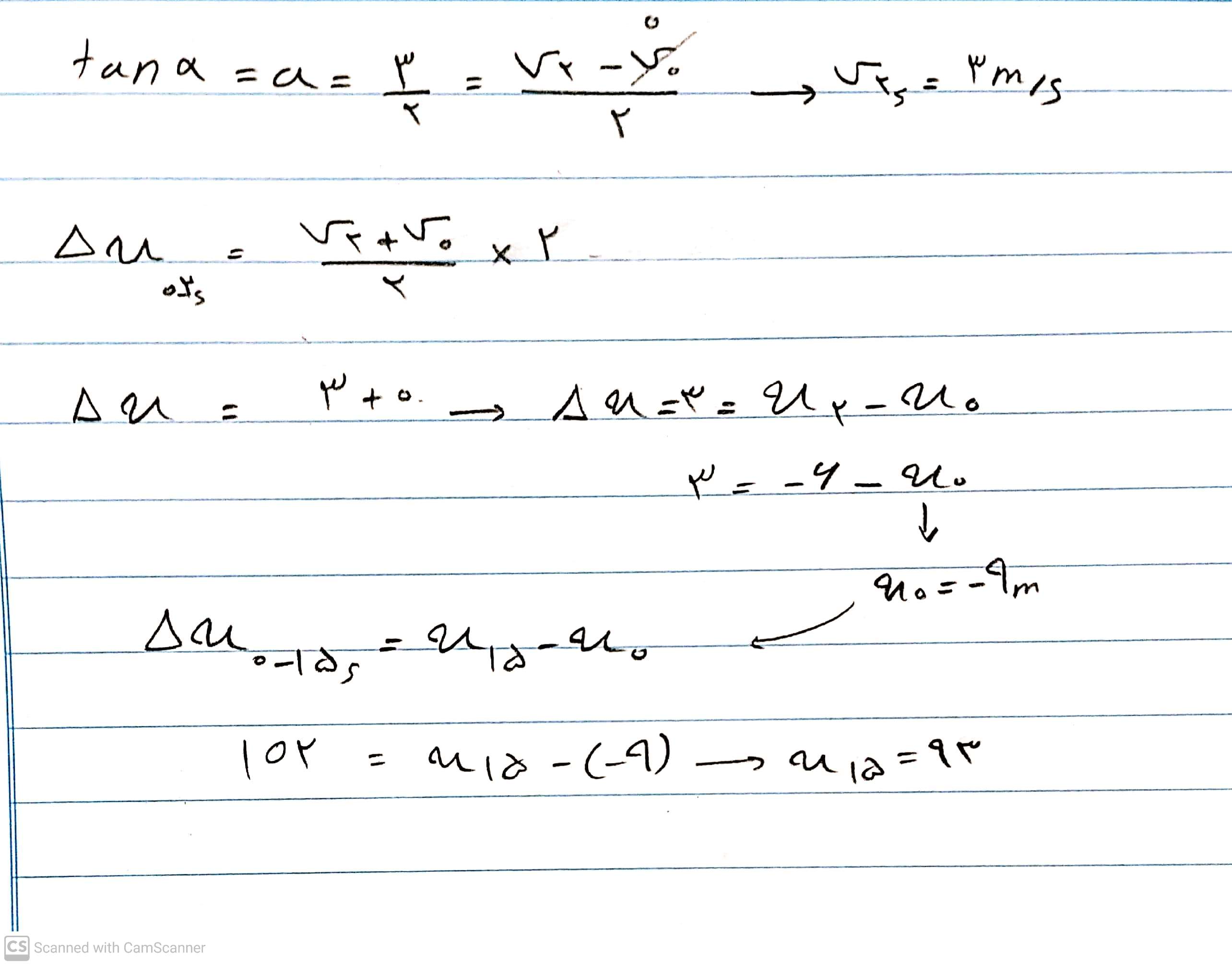
چرا استاد اینقدر سخت حل کردن؟ میشد مساحت زیر نمودار از s2تا 15S رو بدست بیاریم و از طرفی خود سوال مکان در لحظه 2s رو داده در نهایت از مجموع مساحتها کم میکردیم :/

این تست کجاش انقدر سخته ک استاد این راه عجیب غریبو میره؟؟؟ ببینید وقتی جابجایی از لحظه 2ثانیه تا 15 رو حساب کنیم ینی دلتا ایکس2تا15 ثانیه رو بدست اوردیم...ایکس 2 هم ک داده تمام شد رف.. //////: من کامل نوشتم انقدر شد درصورتی ک نیم خط بیشتر نیست راه درستش... /:

(6)

Ferida =D | آکادمی امروز

Ferida =D

3 سال پیش

سلام . وقتتون بخیر . در واقع استاد هم همین کارو کردن فقط محاسبات رو خیلی کامل نوشتن و بازه 2 تا 15 ثانیه رو به چند بازه تقسیم کردن . شاید برای فهم بهتر ما اینقدر کامل نوشتن.

@Ferida =D سلام بنظرم اینطور نیست ک اگ بود استاد راه سریع تروهم میگفتن ن اینکه ی صفحه پر راه بنویسن..بعدشم بگن تست تست دشواری بوده و ازین سخت تر نمیشه/: ...برای سایر سوالات هم همینطوریه..اصلا هر سوالی دیدی استاد نوری راه طولانی رفته برو تستشو سرچ کن پیدا کن راه درستشو یاد بگیر...اگ اینکارو کنی ممکنه نسبت به فیزیک این دوره دلسرد بشی مثل من ولی خب مهم اینه ک راه درست و صحیحو بری...تو کنکور اخیر سرعت خیلی مهم شده..چون حجم سوال و خواسته سوال زیاده و اگ بخوایم ازین روش هایی ک این دوره میگه بکار ببریم ک بیچاره ایم..!!!

Ferida =D | آکادمی امروز

Ferida =D

3 سال پیش

@وحید فرامرزی قبول دارم یه سری وقتا مثل اینجا راه استاد یکم طولانیه که مطمعنم هدفی پشتش دارن و طبق تجربه ای که دارن اینطور عمل میکنن ولی بیا بی انصاف نباشیم روشایی که استاد یادمون میدن هم الان هم دهم و یازدهم کاملا مفهومی و همینطور تستیه .

(3)

@Ferida =D حالا شما تا زمانی ک روش های حل بقیه اساتید رو که مفهومی سوالای سخت روهم حل میکنن نبینید متوجه حرفم نمیشین..مثلا ی تستی بود تو مدار استاد گفتن جزو سخت ترین سواالای چند سال اخیر کنکور بوده..اما من حل ی استاد دیگرو ک نگاه کردم مفهومی با ی فرمول حل شد....."تستی ک استاد یه تخته رو پرر کرد از راه حل جاهم کم اورده بود.."(با روشی ک هم مفهومی بود هم علمی فقد با استفاده از مفهوم فرمول...)..ولی نیاز به فهم و درک بالایی از مطالب داره..

Ferida =D | آکادمی امروز

Ferida =D

3 سال پیش

@وحید فرامرزی بالاخره بعضی وقتا پیش میاد یه روشی برای یکی راحت باشه و برای یکی دیگه نه ، مثلا من به شخصه با روشای استاد راحت ترم ، شما شاید با یه روش دیگه بیشتر اوکی باشیدو کاملاا طبیعیه ، استادم طبق اکثریت درس میدن . اگر قرار بود همه از یه روش استفاده کنن که دیگ خلاقیت از بین میرفت و مسخره میشد :) ، دنیا با تفاوت ما آدما باهم قشنگه .

@Ferida =D برا تست زدن من ترجیح میدم راهی و برم ک زودتر ب جواب میرسونه چون کنکور جنگ سرعت هم هست...وگرنه تدریس استاد نوری خیلی خوب و مفهومیه و قبول دارمش...ولی تو تستا خفن نیست..

(2)

Ferida =D | آکادمی امروز

Ferida =D

3 سال پیش

@وحید فرامرزی نظرتون محترمه ، ولی اصلا باهاتون موافق نیستم . 🙂

(1)

سلام، این روش برای من خیلی خوب و قابل فهم بود. برای تست ۲۰ هم روش ساده‌تری دارید؟

سلام وقت بخیر من اینجارو نمیفهمم چرا ارتفاع میشه 4 🥲💔

سلام دوست عزیز>< پاسخ به صورت ویس میباشد.

این طوری هم میشد حل کرد، درسته؟ از این طریق زودتر به جواب میرسیم

(2)

سلام عزیزم بله کاملا درسته 🌻

Mandana  Moradi | آکادمی امروز

Mandana Moradi

3 سال پیش

سلام میشه لطفاً راه حلتو توضیح بدی برام ...

@Mandana Moradi تو ویس برات توضیح دادم:)

(1)

سلام وقت بخیر. من تو این سوال سرعت متوسط رو برای کل مدت زمان حرکت حساب کردم،در واقع جابجایی کل رو تقسیم بر کل مدت زمان حرکت کردم، بعد خواستم این سرعت متوسط رو برابر با مدت زمان ۱۵ تا دو ثانیه قرار بدم که بتونم طبق کسی که براتون فرستادم مکان متحرک را در لحظه ۱۵ ثانیه پیدا کنم اما جواب نمیاد ممکنه راهنمایی کنید که اشکال کارم کجاست؟

سلام عزیزم:) چون جابجایی که جایگذاری کردی برای لحظه ۰ تا ۱۵ هست نه ۲ تا۱۵

@فاطمه رحیمی نسب درسته ممنون😅