الکتریسیته ساکن (۱)

4.9/5
(7 رای)

بارالکتریکی و روش های باردار کردن + قانون کولن + میدان الکتریکی

الکتریسیته ساکن (۱)
الکتریسیته ساکن (۱)

`01:24

50 ساعت تدریس کاملا رایگان زیست برای دریافت ویدیو ها شماره ت رو وارد کن
سوالات دیگران

روشی که تو دقیقه 32 فیلم استاد گفتن خیلی ریسکش بالاس حالا اومد ما گزینه ای رو فرض کردیم که آخرش جواب رو بهمون نداد تا گزینه های دیگه رو هم امتحان کنیم زمانمون رفته که یه روش اصولی دیگه نداره با اون روش این جور تستارو حل کنیم ؟

محمد عنایتی | آکادمی امروز

محمد عنایتی

10 ماه پیش

tashrihi

@محمد عنایتی ممنون دوست عزیز 🌹

کجای سوال گفته دو تا بار باهم برابرند ؟

سلام چرا توی F12 فاصله رو 30+رادیکال 2 کرد بعد به توان 2 زد؟؟؟؟؟ لظفا جواب بدید

دلیل اینکه خطوط میدان هم رو قطع نمیکنن تو تشریحی چی باید گفن؟؟

ااصیه / | آکادمی امروز

ااصیه /

1 سال پیش

سلام دقیقه چهل و یک چرا g2 باید منفی باشه من هیچ بایدی ندیدم اخه ازکجا بفهمیم

زینب مقدم | آکادمی امروز

زینب مقدم

tik

1 سال پیش

سلام وویس

زینب مقدم | آکادمی امروز

زینب مقدم

tik

1 سال پیش

جواب به صورت صوتی می باشد:)

سلام خسته نباشی🥲♥️ ببخشید لطفا اگه میشه چند تا جزوه فیزیک جت رو واسم میفرستی؟ خیلی نیاز دارم هرجایی که شما راحت هستید قول میدم زیاد وقتتون گرفته نشه

ااصیه / | آکادمی امروز

ااصیه /

10 ماه پیش

@پوریا خیره کش سلام رفیق. باشه سروش پیام بده . @lvvii

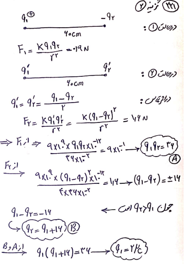
سلام اینجا که ۵/۴چه طور بع 9/4 کی یو ۱ تبدیل شد؟

فاطمه صفری | آکادمی امروز

فاطمه صفری

1 سال پیش

سلام اینجا که استاد برای فاصله f12 نوشته ۹۰۰ ضربدر ۲ چطوری بدست آورده؟

سلام و درود میشه تایمشو برام مشخص کنید؟

@فاطمه صفری جواب به صورت صوتی می باشد:)

سلام خسته نباشی🥲♥️ ببخشید لطفا اگه میشه چند تا جزوه فیزیک جت رو واسم میفرستی؟ خیلی نیاز دارم هرجایی که شما راحت هستید قول میدم زیاد وقتتون گرفته نشه

آگه ۲ نبود باز باید همه اینها از اول بریم 🤕

بله متاسفانه

من روش تشریحی رو پیشنهاد میکنم هرچند طولانی تر باشه

@سید محمد متین رشادی روش تشریحی چطوریه منم سوالم همین بود

بدونه برسی گذینه ها سوال دقیقه۳۲ رو منظورم بود

میشه اینجوریم حل کرد؟

چرا میدان تو نقطه A سمت راسته؟

تارا ساجد | آکادمی امروز

تارا ساجد

1 سال پیش

چون ذکر کرده E یعنی علامت مثبت به سمت راست اگر منفی بود میشد -E

سلام E رو چرا به سمت راست میگیریم؟

سلام این رابطه رو بیشتر توضیح میدید

اونجایی که استاد میگه ۵ ۴ ام q1 رو نفهمیدم

سلام عزیزم لطفا دقیقه فیلم رو مشخص کن🌻

جمع بندی الکتریسیته ساکن (۱) فیزیک جت یازدهم توسط بهترین اساتید کنکور به همراه جزوه ، تست ، تمرین و رفع اشکال کنکور | کنکور ریاضی - آکادمی امروز