تست2

5/5
(9 رای)
برای مشاهده، ابتدا وارد شوید.
ورود و مشاهده فیلم

فاصله ها و تقسیم ها

تقسیم،بخشپذیری و هندسه مختصاتی
تقسیم،بخشپذیری و هندسه مختصاتی

`01:02

2 تمرین

50 ساعت تدریس کاملا رایگان زیست برای دریافت ویدیو ها شماره ت رو وارد کن
سوالات دیگران

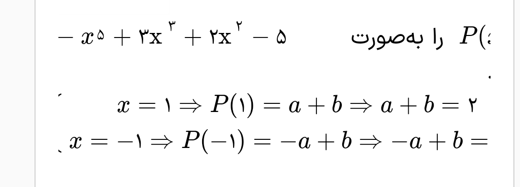
سلام مجدد اینجا چطوری a رو 2 به دست اومد ؟ میشه محاسبش رو بگین؟

(2)

منم نفهمیدم چجور شد 2 . هرجور حساب میکنم منفی 13 درمیاد /:

(4)

نرگس رحیمی | آکادمی امروز

نرگس رحیمی

tik

2 سال پیش

جواب به صورت صوتی می باشد:)

(16)

نرگس رحیمی | آکادمی امروز

نرگس رحیمی

tik

2 سال پیش

@هانیه بختیاری جواب به صورت صوتی می باشد:)

(1)

(1)

@نرگس رحیمی سلام وقت بخیر خیلی ممنون بابت زحماتتون میشه لطفا عکس محاسبات رو قرار بدید من گیج شدم یکم 🙏

نرگس رحیمی | آکادمی امروز

نرگس رحیمی

tik

2 سال پیش

@نازنین زهرا جعفری زاده سلام گلم بفرمایید .

(9)

@نرگس رحیمی خیلی ممنونم ❤️🙏

(1)

سلام اگه فکر کنیم اشتباه تایپی بوده بجای 3n+1خواستن 2n+1بزارن همه چی اوکی میشه

(3)

@نازنین رصاف اخه تو دفترچه سوالاتم 3n+1 هستش

@نرگس رحیمی خب بقیش چی ؟توی مرحله بعد به مشکش میخوریم بااین روش

(1)

@نسترن اکبری سلام بله حق باشماس.اگه اشتباه محاسباتی پیش اومده رو اینجور توجیح کنیم حل میشه

@نرگس رحیمی چرا 16a اومد اینور تساوی علامتش عوض نشد ؟؟

@نرگس رحیمی خب اینجا شما دوتا اشتباه انجام دادین یکی اینکه علامت منفی برای عدد ۹۶ هست که به اشتباه گذاشتید برای ۶۴ و یکی دیگه اینکه عدد ۱۶ بره اونور تساوی علامت منفی میگیره

اینم از تایم اقای رشادی

(1)

استاد وقتی nرو جایگذاری میکردند اولش رو اشتباه کردند اون عبارت میشه x به توان 4 نه x به توان 3درست میگم یا نه

لطفاً تایم دقیق مشخص کنید 🌷 ریپلای نباشه 🌷

میشه از این روش رفت

سلام میتونی روشت رو روی کاغذ برام بفرستی؟

اینجا استاد دارن اشتباه میگن. چون اگر توی ایکس به توانِ 3n+1، اِن (n) رو یک بزاریم میشه ایکس به توانِ 4!! ولی استاد گفتن ایکس به توانِ 3 :||| بررسی میکنید لطفا؟

(1)

شِکفته . | آکادمی امروز

شِکفته .

4 ماه پیش

اینجایی که گفتم رو استاد اشتباه گفتن ولی a بازم همون 2 میشه

..  . | آکادمی امروز

.. .

4 ماه پیش

ویه سوال دیگه چرا اینجا نیومدیم خارج قسمت رو برابر صفر قرار بدیم و x2 به دست بیاد و بعدبزاریم تو مقسوم و باقی مانده بدست بیاد؟ راه حلی که استاد گفتن اینه دیگه ولی اصن نمیشه حل کرد ولی تویکی از نکته ها گفتن اگه باقی مانده یه عبارت بود بیا رابطه تقسیم بنویس ک استاد اینجا رابطه تقسیم رو نوشتند میشه توضیح بدید

..  . | آکادمی امروز

.. .

4 ماه پیش

ببخشید چرا اینجا استاد اومدن مقسوم علیه رو تجزیه کردن؟ مگه استاد تو درسنامه نگفتن اگه نوشت بخش پذیره و درجه یک نیست و بیشتره تجزیه کن

..  . | آکادمی امروز

.. .

4 ماه پیش

سلام ببخشید اینجا که میشه x4 و بعدش ۲تاx3

(1)

سلام وقت بخیر چون توی سوال گفته n مساوی 1 هست استاد به جای n عدد1گذاشتن

واقعا دارم ناامید میشم

(1)

نرگس مهدوی | آکادمی امروز

نرگس مهدوی

tik

9 ماه پیش

نگران نباشین گاها از این موارد تست های وحشتناک دیده میشه صرفا این تست رو یجا یادداشت نگه دررین، هر چند وقت یک بار برگردین به حلش نگاه کنین براتون هضمش راحت تر میشه

ااصیه / | آکادمی امروز

ااصیه /

9 ماه پیش

با تدریسی ک داده شده این سوال قابل حل نیست.الان توضیحاتی ک دادند سرحل تست رو من برای اولین بار شنیدم

نرگس مهدوی | آکادمی امروز

نرگس مهدوی

tik

9 ماه پیش

ببین بعضی سوالات ایده های جدید دارن و موضوعشون جوری نیست بشه تو درسنامه توضیحش داد تو این مورد مسائل باید تست رو ببینین و روش حل رو از تست یاد بگیرین

مریم جابری | آکادمی امروز

مریم جابری

10 ماه پیش

تست ۳ میشه توضیح بدین ۱۲nها چجوری از بین رفتن میشه یکی حل کنه و عکسشو بفرسته؟

نرگس مهدوی | آکادمی امروز

نرگس مهدوی

tik

10 ماه پیش

میتونی سوالشو کامل بفرستی؟

مریم جابری | آکادمی امروز

مریم جابری

10 ماه پیش

@نرگس مهدوی متاسفانه کامل نمیاد تست ۳ تمرین یادبگیرم ها است

سلام در رشته تجربی سال 1402و 1403 تست های اینحوری داشتیم توی کنکور ؟؟؟؟؟

ی سوال چطوری میشه که اگر n = 1 باشه 3n + 1 = 6 ؟

کجا همچین چیزی نوشتن؟🤔

زینب مقدم | آکادمی امروز

زینب مقدم

tik

1 سال پیش

کجای فیلم هست این؟ دقیقه اش رو بگو 💚

@زینب مقدم دقیقه سوم بود ولی دفع دوم که دیدم متوجه ای شدم که x ها رو جابه جا کردن استاد😅 ببخشید

@سید محمد متین رشادی دقیقه سوم بود ولی دفع دوم که دیدم متوجه ای شدم که x ها رو جابه جا کردن استاد😅 ببخشید

سلام خسته نباشید ببخشید آخه من a رو 2_ آوردم میشه بگید کجاشو اشتباه حل کردم ؟