تست2

5/5
(7 رای)
برای مشاهده، ابتدا وارد شوید.
ورود و مشاهده فیلم

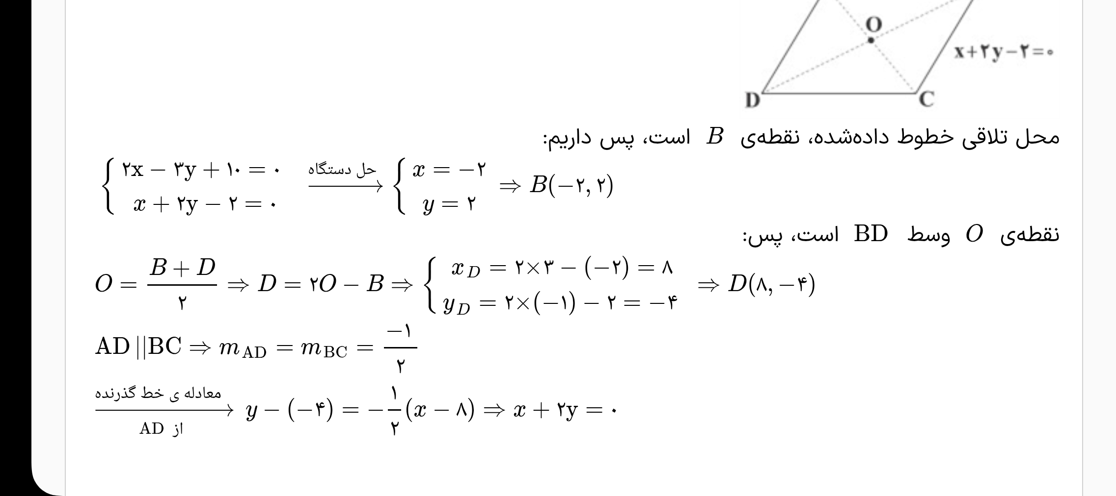
فاصله ها و تقسیم ها

تقسیم،بخشپذیری و هندسه مختصاتی
تقسیم،بخشپذیری و هندسه مختصاتی

`01:02

2 تمرین

50 ساعت تدریس کاملا رایگان زیست برای دریافت ویدیو ها شماره ت رو وارد کن
سوالات دیگران
mahdi... b | آکادمی امروز

mahdi... b

5 روز پیش

سلام ببخشید چرا نمیشه فاصله نقطه از خط رفت؟

چرا از هم کم کرد ؟

z z | آکادمی امروز

z z

1 ماه پیش

سلام به خاطر اینکه راحت حل شود

این پاسخش

این سوالو توضیح میدین؟

کلا نفهمیدم🤦‍♀️🤦‍♀️

اگر ویس ناواضح بود بگید دوباره ضبط کنم 🌷 ریپلای نباشه 🌷

🫀 MAHY  🫀 | آکادمی امروز

🫀 MAHY 🫀

1 سال پیش

چرا اینجا به جای منفی بی بر آ نوشته منفی بی ؟

کجا نوشته منفی بی؟؟؟ پیدا نکردم 💔

🫀 MAHY  🫀 | آکادمی امروز

🫀 MAHY 🫀

1 سال پیش

به سوالم جواب بدین

اینجا چطور شر اتحاد مزدوج؟؟

زینب مقدم | آکادمی امروز

زینب مقدم

tik

1 سال پیش

جواب به صورت صوتی می باشد:)

سلام استاد از کجا فهمیدن وقتی هر دو را از هم کم میکنیم،xخط میخوره،ما معمولاً دو تارا زمانی در دو معادله دو مجهول از هم کم می‌کنیم که ضریب یک مجول در دو معادله مثل هم باشه مثل تصویر زیر:

جواب به صورت صوتی می باشد:)

@سید محمد متین رشادی منظورم این هست که برای پیدا کردن a باید x حذف بشه درسته؟ پس ما باید این دو معادله دو مجهول را در عددی ضرب کنیم که موجب حذف x بشه،استاد با این کار که معادله معادله دوم را از معادله اول کم کردن در واقع معادله دوم را در منفی ضرب کردند،از کجا فهمیدن که این کار در نهایت x را حذف میکنه (یکم تایپی گفتن سخته ان‌شاءالله منظورم را فهمیده باشید)

امیرمحمد . | آکادمی امروز

امیرمحمد .

1 سال پیش

@امیررضا حاجی حسینی من فهمیدم چی میگوییی حتما راه حلی جز این نبودع و از دستگاه رفتن حتما راه حل اش همین بوده به هرحال تجربه هم دارن دیگه

اینجا چرا y میشه x-1؟؟؟

برای حل دستگاه دو معادله دو مجهول مگه نباید قرینشون کنیم بعد باهم جمع کنیم ؟ چرا اینجا استاد از هم کمشون کردن ؟

(1)

اگر چه که بازم فرقی نکرده وقتی شما مثلا اولی رو منهای دومی میکنید،مثل این میمونه که اولی رو با قرینه دومی جمع کردید

باشه ولی هیچی نفهمیدم 🤝🏻😕

(4)

سلام استاد اینجا وقتی میخواد مزدوج بزنه توی کم کردنشون بجای x+1 مینویسه x_1 این اشتباهه خب

سلام تو این قسمت استاد چطور در منها کردن جملات ۲ آورد من هر کار میکنم جواب6-2x- میاد

نرگس رحیمی | آکادمی امروز

نرگس رحیمی

tik

2 سال پیش

جواب به صورت صوتی می باشد:)

. . | آکادمی امروز

. .

2 سال پیش

بر چه اساسی ما باید اینارو از هم کم کنیم؟

نرگس رحیمی | آکادمی امروز

نرگس رحیمی

tik

2 سال پیش

سلام گلم اساسی نداره ما در واقع چون a رو میخواستیم و دیدیم هردو معادله داده شده مجموع ۲ تا توان ۲ هستن گفتیم با این کار ساده تر میشه حلش کرد .

. . | آکادمی امروز

. .

2 سال پیش

@نرگس رحیمی یعنی در صورت نیاز و فراهم بودن شرایط میتونستیم با هم جمع کنیم؟

@. . سلام و درود بله میشه مهم اینه به جواب برسیم حالا به هر طریقی که شد

(1)