تست ۲۱

4/5
(2 رای)
برای مشاهده، ابتدا وارد شوید.
ورود و مشاهده فیلم

معادله درجه۲ و سهمی + نامعادله و تعیین علامت

سهمی،معادله درجه دوم،نامعادله،تعیین علامت
سهمی،معادله درجه دوم،نامعادله،تعیین علامت

`01:12

تست های برگزیده قسمت 1
تست های برگزیده قسمت 1

`02:08

50 ساعت تدریس کاملا رایگان زیست برای دریافت ویدیو ها شماره ت رو وارد کن
سوالات دیگران
پرستو حیدری | آکادمی امروز

پرستو حیدری

11 ماه پیش

سلام وقت بخیر میشه خواهش کنم عدد p رو حساب کنین برام؟

سلام اینو یکی دیگه از کارشناسان علمی آقای اسماعیلی لطف کرده بودن و فرستاده بودن 🌷

میشه لطف کنید عبارت رو سـاده کنید.

زینب مقدم | آکادمی امروز

زینب مقدم

tik

1 سال پیش

جواب به صورت صوتی می باشد:)

@زینب مقدم لطف کردید.سپاس

میشه از طرز ساده کردن روش دوم هم بگین که متوجه بشیم که اگر تو یه سوالی نتونستیم از روش اول بریم یا گیج شدیم از این روش بریم؟

جواب به صورت صوتی می باشد:)

@سید محمد متین رشادی بله ممنون متوجه شدم

..  . | آکادمی امروز

.. .

1 سال پیش

@سید محمد متین رشادی سلام ببخشید علت قرینه کردن چیه؟

BAHAR  :) | آکادمی امروز

BAHAR :)

1 سال پیش

میشه تو همین روش ضربشون رو هم انجام بدید 🙏🏻

هلیا پولکی | آکادمی امروز

هلیا پولکی

2 سال پیش

سلام . مگه توی تست قبل استاد نگفتن برای عکس کرذن ریشه های یه معادله جای a ,c رو باهم عوض میکنیم؟ خب چرا اینجا اینکارو نکردن بعد ازش یک واحذ کم کنن؟

(1)

سوال منم هست . چرا جاشون و عوض نکردن بعدش یه واحد کم کنن جواب بدست بیاد ؟

(1)

maryam chaghaei | آکادمی امروز

maryam chaghaei

1 سال پیش

@هانیه بختیاری جواب آقای اسماعیلی توی تست بعد رو ببینین شاید جواب سوالتون رو بگیرین :)

میشه راه دوم رو که استاد بازش نکردند شما باز شدش رو بنویسید

نرگس رحیمی | آکادمی امروز

نرگس رحیمی

tik

2 سال پیش

جواب به صورت صوتی می باشد:)

@نرگس رحیمی سلام وقت شما بخیر داخل توضیح شما به خانم اسد زاده من چگونگی از بین بردن مخرج رو متوجه نشدم

نرگس رحیمی | آکادمی امروز

نرگس رحیمی

tik

2 سال پیش

@امیرحسین اسماعیلی جواب به صورت صوتی می باشد:)

سلام .میشه لطفا راه حل اول ضرب ریشه هارو توضیح بدین

نرگس رحیمی | آکادمی امروز

نرگس رحیمی

tik

2 سال پیش

جواب به صورت صوتی می باشد:)

@نرگس رحیمی سلام ممنون

(1)

سلام میشه لطف کنید راه حل دوم استاد تا آخر حل کنید برام بفرستید توی حلش مشکل دارم

نرگس رحیمی | آکادمی امروز

نرگس رحیمی

tik

2 سال پیش

سلام عزیزم بفرمایید

(3)

زینب عباسی | آکادمی امروز

زینب عباسی

2 سال پیش

@نرگس رحیمی سلام وقتتون بخیر میشه باویس ی توضیح کوچیک بدین 🌺

نرگس رحیمی | آکادمی امروز

نرگس رحیمی

tik

2 سال پیش

@زینب عباسی جواب به صورت صوتی می باشد:)

@نرگس رحیمی چرا آخرش از منفی کل عبارت فاکتور گرفتین ؟

(2)

@هانیه بختیاری لطفا جواب دادن بمنم اطلاع بدید🙏

ABOLFAZL Hendevani | آکادمی امروز

ABOLFAZL Hendevani

2 سال پیش

در پیرو توضیحاتی که در پایین دادم این عکس رو هم ببینید راحتتر میفهمید موضوع رو خودم بزرگتر نوشتم تا راحت ببینید و درک کنید خسته نباشید 😊😊😊😊

(2)

سلام رفیق ممنونم از توضیحات جالبت من ندیده بودم این روش رو تا حالا و نمی‌دونم آیا همیشه جواب میده یا نه ولی متشکرم که با ما به اشتراک گذاشتی 🙏

(1)

ABOLFAZL Hendevani | آکادمی امروز

ABOLFAZL Hendevani

2 سال پیش

@سجاد اسماعیلی سلام خواهش میکنم من که تا الان باهاش تستهای زیادی حل کردم

(1)

ABOLFAZL Hendevani | آکادمی امروز

ABOLFAZL Hendevani

2 سال پیش

سلام دوستان وقت همگی بخیر روش های استاد خیلی خوب هستن ولی من یه روش بینظیر هم بهتون ارائه میکنم بهتر از این روش ها این روش ها خیلی محاسبه و ساده کردن داره این روشی که میگم رو ببینید اگه گفت ریشه ها معکوس و یک واحد کمتر یعنی عکس ریشه ها و منهای 1 شما اون منفی یک رو مثبت یک در نظر بگیرید عکس ریشه ها که همون عوض کردن جای a و cهست بعد از این کار شما از تابعی که دارین مشتق میگیرید بعدش اون 1 که گفتم میزارین هم تو مشتق تابع و هم در خود تابع بعد که بعد از عوض کردن جای a, c بدست اوردین بعدش فرم معدله جدید به شکل زیر هست : X2 +مشتق+خودش عددی رو که توی جایگذاری 1تو مشتق پیدا کردین رو بجای مشتق تو فرم معادله بزارید و عددی که پس از جایگذاری تو خود معادله پیدا کردین رو بجای خودش تو فرم معادله بزارید اینطوری راحتتر به جواب میرسید

(5)

Anita Rahimipour | آکادمی امروز

Anita Rahimipour

2 سال پیش

دمت گرم همیشه روشای جدید و راحت تو آستینت داری

(1)

ABOLFAZL Hendevani | آکادمی امروز

ABOLFAZL Hendevani

2 سال پیش

@Anita Rahimipour ممنونم من از همون اولای زندگیم دنبال راه و روش راحت برای حل مشکلات و مسائل بودم و دوس دارم دوستامم که شماها هستین بدونن ☺☺

(1)

Anita Rahimipour | آکادمی امروز

Anita Rahimipour

2 سال پیش

@ABOLFAZL Hendevani خیلیم عالی شما دیگه ته مفهوم (تو تویی)رو دراوردی😅

(1)

ABOLFAZL Hendevani | آکادمی امروز

ABOLFAZL Hendevani

2 سال پیش

@Anita Rahimipour اره 😅😅 ولی میدونی مشکل من چیه من فقط تو حل مسائل و تست ها دستم خیلی کنده تو یه ساعت 20 تا تست فیزیک فقط از یه مبحث زدم 🙁🙁

Anita Rahimipour | آکادمی امروز

Anita Rahimipour

2 سال پیش

@ABOLFAZL Hendevani منم خیلی طول میکشه تستام حالا باز شما یه روش جدید میسازی من چی :(

ABOLFAZL Hendevani | آکادمی امروز

ABOLFAZL Hendevani

2 سال پیش

@Anita Rahimipour پس ویژگیه همه هس

(2)

جالب بود واقعا 😐😂👌

(1)

ABOLFAZL Hendevani | آکادمی امروز

ABOLFAZL Hendevani

2 سال پیش

@امیرعلی کریمی قابلی نداش 😂😂

سلام عبارت و چطوری باید ساده کنیم ؟

سلام و درود پاسخ بنده به خانم سعیدی رو چک بفرمایید

سلام وقت بخیر چرا طرفین برعکس شد؟

سلام و درود مثل طرفین وسطین که انجام می دیم اینجا هم میتونیم در تساوی جای صورت این عبارت و مخرج عبارت دیگر رو عوض کنیم و تساوی همچنان برقرار باشه همون کاری که استاد اینجا انجام داد

(1)

mahsa ‌ | آکادمی امروز

mahsa ‌

3 سال پیش

پی رو هر کاری کردم از این روش درنمیومد برام😶

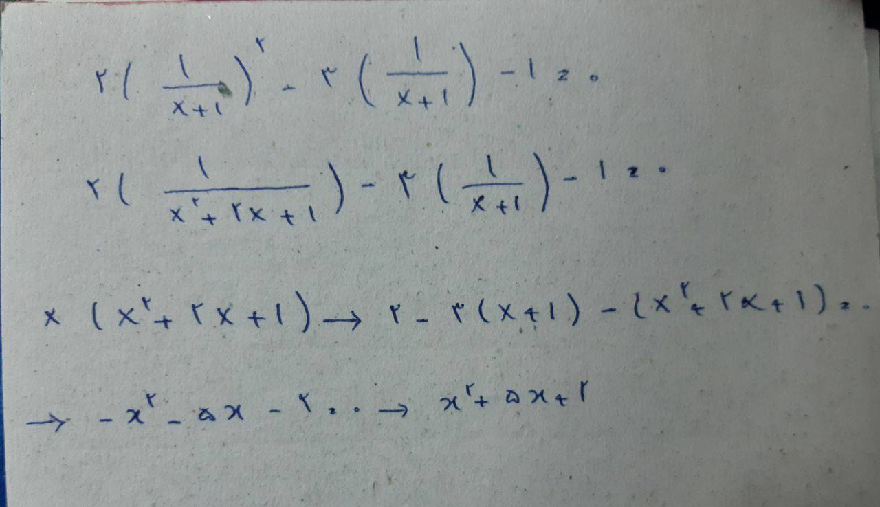
@زهرا سلطانی نیا سلام وقتت بخیر:) بین منفی یک به روی آلفا و منفی یک به روی بتا اگه مخرج مشترک بگیری ، صورت بهت منفی بتا منهای آلفا میده ، که اگه از یه منفی بین اینا فاکتور بگیری ، جمع آلفا و بتا رو خواهی داشت که همون S میشه.. عکسش رو برات میذارم ، اگه سوال داشتی بگو با ویس هم توضیح بدم برات:)

(2)


سلام. پاسخ رو براتون رو تصویر میزارم .

@سجاد اسماعیلی سلام خسته نباشید من متوجه نمیشم چطور بین aو bمثبت میشه؟

@زهرا سلطانی نیا سلام وقتت بخیر:) بین منفی یک به روی آلفا و منفی یک به روی بتا اگه مخرج مشترک بگیری ، صورت بهت منفی بتا منهای آلفا میده ، که اگه از یه منفی بین اینا فاکتور بگیری ، جمع آلفا و بتا رو خواهی داشت که همون S میشه.. عکسش رو برات میذارم ، اگه سوال داشتی بگو با ویس هم توضیح بدم برات:)

(2)

@زهرا سلطانی نیا سلام و درود پاسخ دوستتون درسته

(1)

سلام وقتتون بخیر این تست رو با روشی که استاد توی تست قبل گفتن نمیشه حل کرد؟ یعنی بیایم اول معکوس رو بنویسیم بعد یک واحد کم کنیم من اینجور حل کردم و جوابم درست به دست نیومد

سلام و درود راه حل خودتون رو آپلود کنید تا اشکال کارتون رو بگم

mahsa ‌ | آکادمی امروز

mahsa ‌

3 سال پیش

منم همین کارو کردم s درست دراومد شد -۵ ولیp شد منفی دو سوم در نیومد

(1)

روش 2 رو توضیح بدین..

پاسخ بصورت ویس قرار گرفت.