تست نکات سرعت دادن به مشتق گیری

4/5
(3 رای)

مرحله 49

نیروی گرانش
نیروی گرانش

`00:45

تست نکات سرعت دادن به مشتق گیری
تست نکات سرعت دادن به مشتق گیری

`00:52

تست ها
تست ها

`00:46

 مفهوم حرکت نوسانی و حرکت هماهنگ ساده
مفهوم حرکت نوسانی و حرکت هماهنگ ساده

`01:00

50 ساعت تدریس کاملا رایگان زیست برای دریافت ویدیو ها شماره ت رو وارد کن
سوالات دیگران

سلام وقت بخیر ممکنه از راه مخرج مشترک گیری حلش کنید ؟

مشتق چپ و راست این ضابطه با تعریف مشتق رو میشه لطفاً بنویسین و مقدار مشتق

راه پنجم 🤌🏻😎😄

نرگس مهدوی | آکادمی امروز

نرگس مهدوی

tik

10 ماه پیش

👌

numb ‌ | آکادمی امروز

numb ‌

10 ماه پیش

چقدر خفن بود:)

سلام امکانش هست برنولی رو ی توضیح بدید

سلام https://www.aparat.com/v/EGjP7 این لینک رو هم حتما چک کن یه مثال خوب حل شده

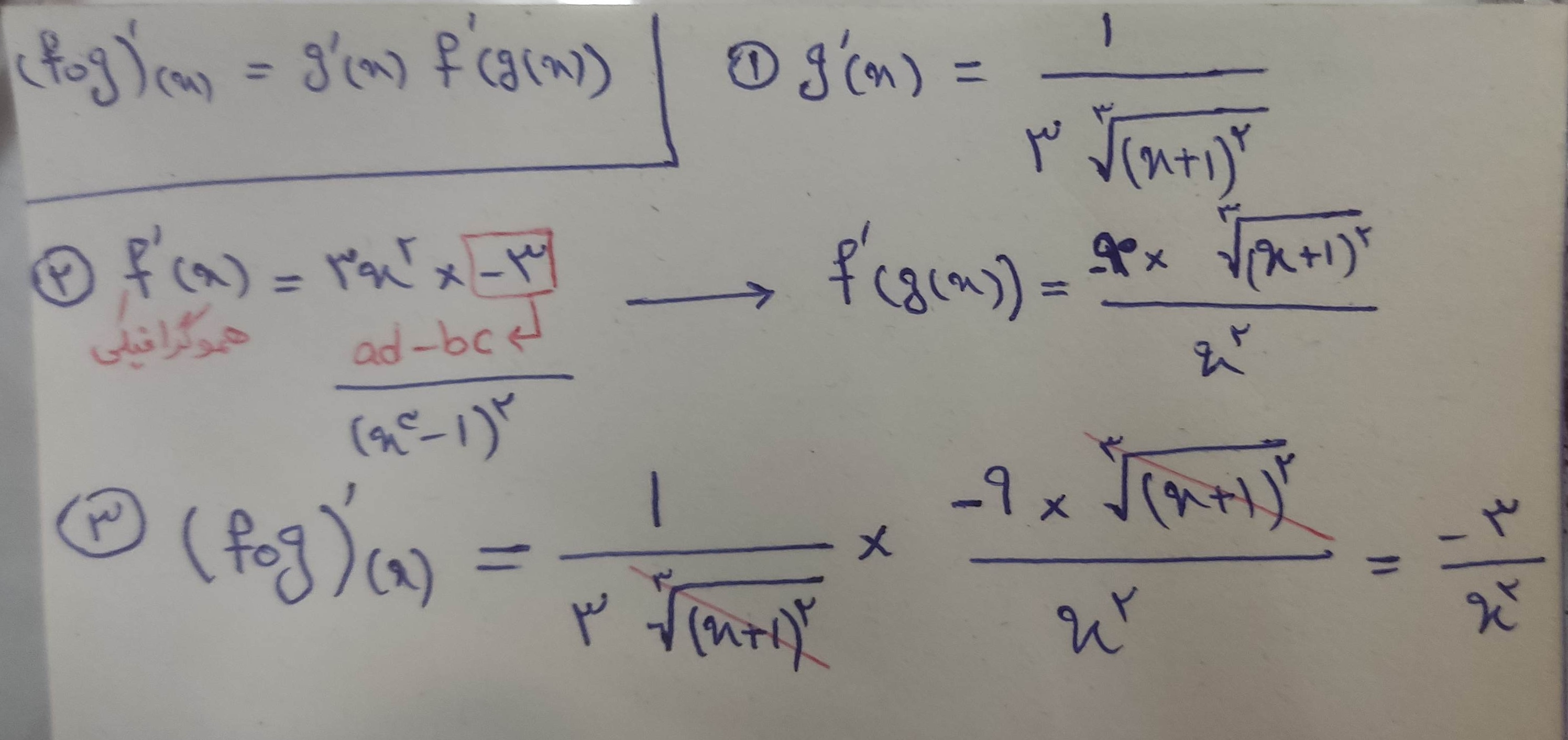
سلام داخل اینجا استاد مشتق فورجه ۳یک هشتم رو دو در نظر گرفتند آیا اشتباه نیست و اگر که یک دوم درست هست کلاً جواب تغییر می‌کنه و می‌شه برام توضیح بدید

سلام وقت بخیر چرا در مرحله آخر به جای xها صفر نگذاشتیم که جواب صفر بشه؟

جواب به صورت صوتی می باشد:)

سلام مگه داخل اینجا در نقطه x=1 تابع گسستگی نداره؟ پس چطور مشتق داره؟

جواب به صورت صوتی می باشد:)

هلیا پولکی | آکادمی امروز

هلیا پولکی

1 سال پیش

مگه مشتق مثلثاتی برای بچه های تجربی هست؟؟

رسول صارمی | آکادمی امروز

رسول صارمی

1 سال پیش

نه متاسفانه یا خوشبختانه

هلیا پولکی | آکادمی امروز

هلیا پولکی

1 سال پیش

@رسول صارمی پس این تستا ب کارمون نمیاد درسته؟

@هلیا پولکی اینطور به نظر میرسه

ق ق | آکادمی امروز

ق ق

1 سال پیش

متوجه نشدم امیدوارم همچین سوالی نیاد

هلیا پولکی | آکادمی امروز

هلیا پولکی

1 سال پیش

سلام چیشو متوجه نشدی؟

رضا آفاقی | آکادمی امروز

رضا آفاقی

1 سال پیش

معمولا هرتستی رو میگیم نمیاد همون میاد...

ق ق | آکادمی امروز

ق ق

1 سال پیش

@رضا آفاقی ریاضی آره

میشه حل شده راه دوم رو به من توضیح بدید

اره منم واسم سواله چون بازهم کاملا ساده نمیشه😑

سوپر بود

ممنون میشم اینو واضح تر توضیح بدید

تو این سوال از روش مشتق توش پیریم رو بزار روش هم میشه رفت؟ اخه من اون روش میرم نمیشه

مگه عامل صفر کننده خودش میانبر اون راه نیست پس چرا باید فرق کنه

maryam chaghaei | آکادمی امروز

maryam chaghaei

1 سال پیش

فرقش در اینه که استاد گفتن میتونیم بعد از اینکه از عامل صفر شونده مشتق گرفتیم , بجای lim بقیه عبارت ها , خود عبارت ها رو بنویسیم ولی اینکه خودشون رو بنویسیم بعضی وقتا جواب اشتباه میده ; مثل بعضی از همین سوالات نموداری پس راه مطمئن اینه که از lim استفاده کنیم :)))

آموزش ویدیویی تست نکات سرعت دادن به مشتق گیری برنامه مطالعاتی دوازدهم دوازدهم توسط بهترین اساتید کنکور به همراه جزوه ، تست ، تمرین و رفع اشکال کنکور | کنکور - آکادمی امروز