تست1

4.9/5
(251 رای)
برای مشاهده، ابتدا وارد شوید.
ورود و مشاهده فیلم

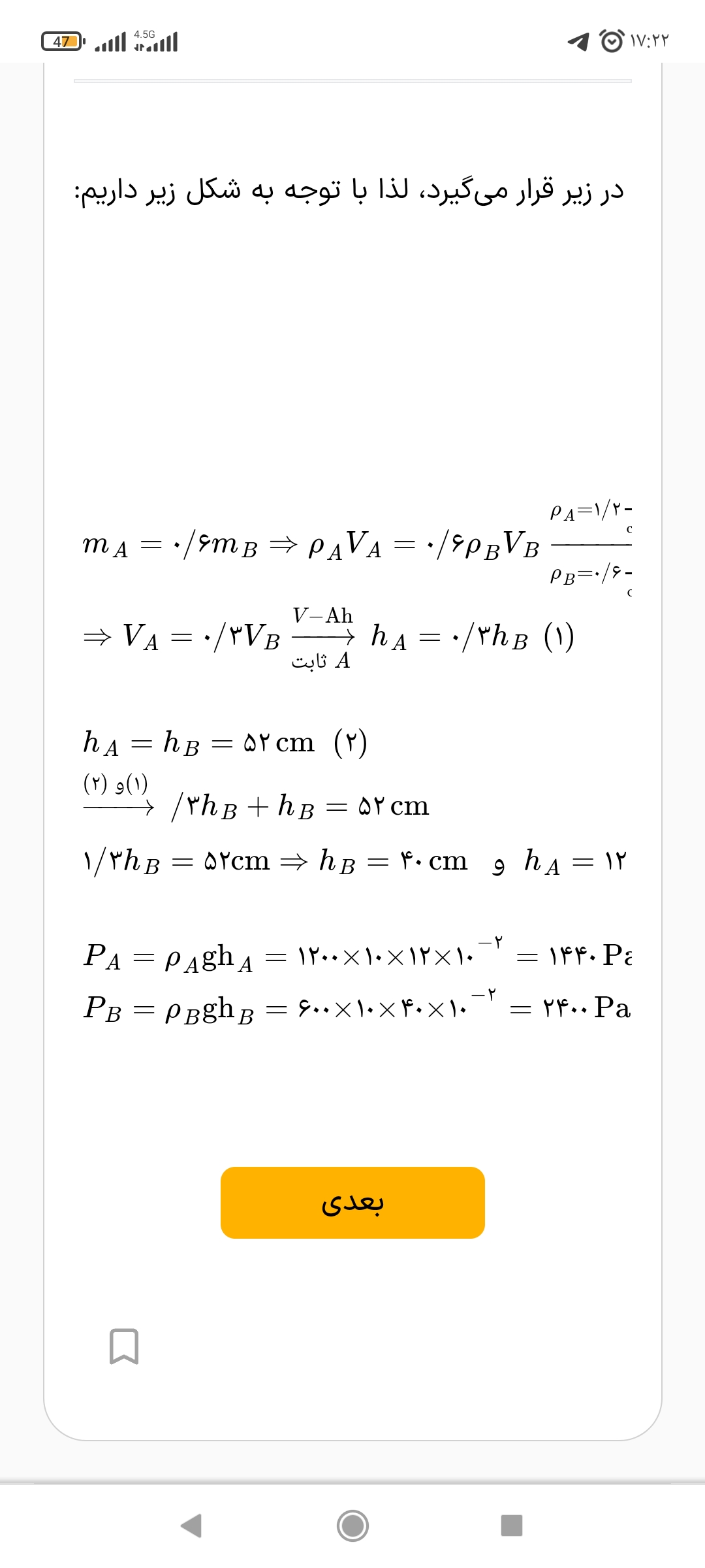
فشار در شاره ها(مایعات)

تست فشار ناشی از مایعات
تست فشار ناشی از مایعات

`01:20

1 تمرین

تست فشار کل(۱)
تست فشار کل(۱)

`00:59

تست فشار کل(۲)
تست فشار کل(۲)

`00:50

1 تمرین

تست نیروی شاره
تست نیروی شاره

`01:22

 فشار بر حسب سانتی متر جیوه
فشار بر حسب سانتی متر جیوه

`01:35

50 ساعت تدریس کاملا رایگان زیست برای دریافت ویدیو ها شماره ت رو وارد کن
سوالات دیگران

اینجا میتونستیم بجای 36، 20 رو وارد فرمول کنیم؟

اب خوردن بود کاش کنکور اینجوری بیاد

☘️☘️☘️

وقتی برای شما آسونه برای همه متقاضیا هم آسونه.

(4)

 MAHY  . | آکادمی امروز

MAHY .

5 ماه پیش

دقیقا

از کجا باید بدونیم ک اون نقطه کف ظرف را اونجا باید در نظر بگیریم؟

(1)

جواب به صورت صوتی می باشد:)

(1)

ذهنی میشه با تناسب رفت

عالی 🌷

(1)

من ذهنی حل کردم گفتم که 16 سانتی متر از نصف 36 سانتی متر کمتره پس اگه قرار باشه فشار تا کف ظرف رو حساب کنیم باید از دو برابر فشار تو فاصله 16 سانتی متری بیشتر باشه ینی عدد باید از دو برابر 320 بیشتر باشه. که میشد 720 البته به پاسکال. این تست و میشد ذهنی حل کرد ولی بهتره تو کنکور اینجوری حل نکنیم فک کنم. چون اینجا گزینه ها با هم خیلی تفاوت داشت.

زینب مقدم | آکادمی امروز

زینب مقدم

tik

1 سال پیش

خیلی خوبه

(1)

زینب مقدم | آکادمی امروز

زینب مقدم

tik

1 سال پیش

اره دقیقا وقتی گزینه‌ها فاصله زیادی داشته باشن، این ذهنی رفتنه مطمئن‌‌تره👍🙌

(1)

سلام این سوال چطوری حل میشه گزینه رو شانسی زدم

مریم فتاحی | آکادمی امروز

مریم فتاحی

1 سال پیش

چرا اول ۱۶ رو ارتفاع درنظر و بعد ۳۲ رو ارتفاع در نظر گرفت استاد؟

جواب به صورت صوتی می باشد:)

با سوال ۱ تمرین

زهرا حبیبی | آکادمی امروز

زهرا حبیبی

1 سال پیش

خب اینجا نگا داده های مسله چگالی رو به ما داده 900 بر حسب SI هم هست نیازی به تبدیل واحد نداره فشار هوا هم 100000 داده فشار توی نقطه‌یA رو خواسته همونطوری که میدونی فشار کل از رابطه ی p=𝙥gh+p0 به دست میاد ارتفاع نقطه‌ی A رو باید از سطح آزاد مایع حساب کنیم که میشه 0.5 +1.5 در موجوع میشه دو متر g هم تو صورت سوال گفته 10 بگیریم تمام داده هارو جایگذاری میکنیم P=900×10×2+100000 جواب میشه 18000+100000

میشه سوال ۵ تمرین ها رو توضیح بدید

سلام من بعضی از تمرین ک استاد داده این قسمت درس مشکل دارم کسی میتونه کمکم کنه ؟

زهرا حبیبی | آکادمی امروز

زهرا حبیبی

1 سال پیش

سلام هر کدومو نمیفهمی به من بگو اگه تونستم برات توضیح میدم اگه نتونستمم بقیه وقتی ببین سوال داری کمکت میکنن

Nazanin    Mogoui | آکادمی امروز

Nazanin Mogoui

2 سال پیش

میشه یکا ها شتاب گرانش را بگید

متر بر مجذور ثانیه نیوتون بر کیلوگرم

(1)

مانی زرگر | آکادمی امروز

مانی زرگر

2 سال پیش

سلام ببخشید تو بخش تست فشار کل قسمت (تمرین یادبگیریم 3و4) تست شماره 4 رو میشه توضیح بدین چطوری ارتفاع رو به دست اوردیم؟

جواب به صورت صوتی می باشد:)

سلام اگه با تناسب حل بشه این سوال راحت تر فکر کنم به جواب برسیم

(1)

سلام تمرین 5 این نباید 8دهم باشه؟

جواب به صورت صوتی می باشد:)

(1)

سلام چرا تو تمرین 2 فشار هوا مهم هست و باید حتما بیاریمش تا جواب بدست بیاد ولی تمرین 3 به فشار هوا بستگی نداره!؟

جواب به صورت صوتی می باشد:)

(1)